Fig. 25.

Download original image
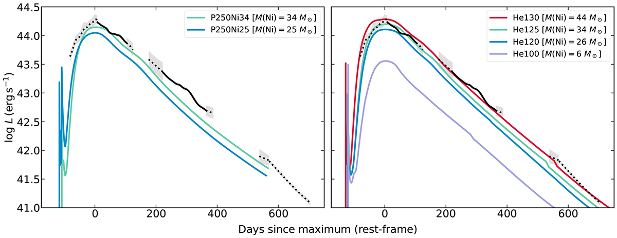
Comparison of SN 2018ibb with the PISN models P250Ni25 and P250Ni34 from Kozyreva et al. (2017; left panel) and the He100, He125, and He130 from Heger & Woosley (2002; right panel). Templates with nickel masses of 34–44 M⊙ are required to describe the entire bolometric light curve from tmax–93 to tmax+706 days. Models with M(Ni)=25 M⊙ systematically underestimate the observed bolometric light curve, but they could still be viable if CSM interaction contributes significantly throughout the evolution.
Current usage metrics show cumulative count of Article Views (full-text article views including HTML views, PDF and ePub downloads, according to the available data) and Abstracts Views on Vision4Press platform.
Data correspond to usage on the plateform after 2015. The current usage metrics is available 48-96 hours after online publication and is updated daily on week days.
Initial download of the metrics may take a while.