Fig. 32.

Download original image
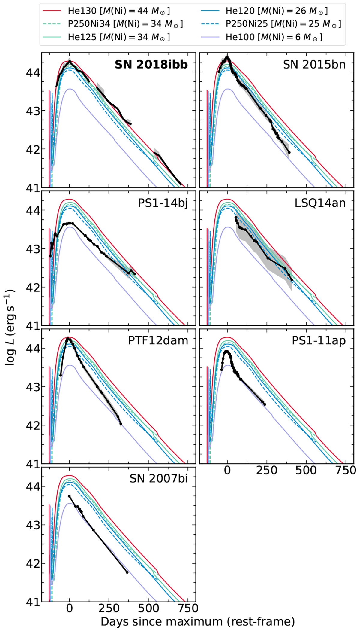
The bolometric light curves of SN 2018ibb and historical slow-evolving SLSNe in the context of PISN models with nickel masses between 5 and 44 M⊙. SN 2018ibb is the only SLSN whose entire light curve from tmax–93 to tmax+706 days is consistent with PISN templates. The other SLSNe have either too fast declining light curves, light curve shapes inconsistent with PISN models, or their light curves are poorly sampled, hindering a comparison with PISN templates. The grey-shaded region indicates the 1σ uncertainty.
Current usage metrics show cumulative count of Article Views (full-text article views including HTML views, PDF and ePub downloads, according to the available data) and Abstracts Views on Vision4Press platform.
Data correspond to usage on the plateform after 2015. The current usage metrics is available 48-96 hours after online publication and is updated daily on week days.
Initial download of the metrics may take a while.