Open Access

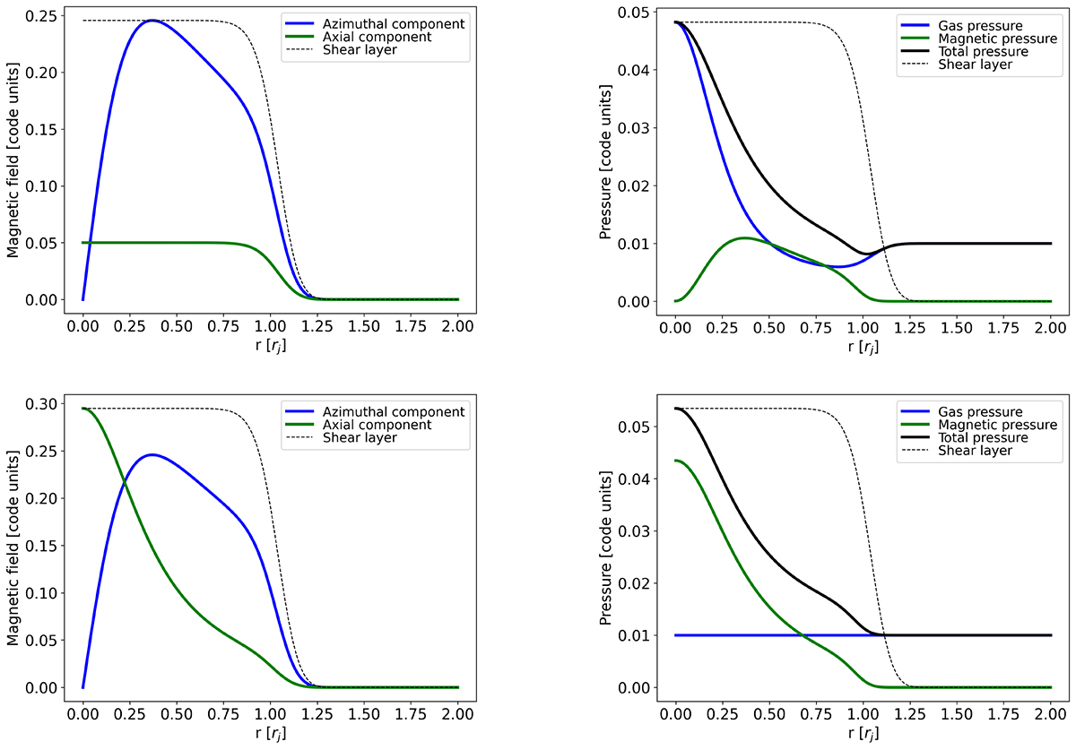
Fig. 1.

image

Download original image

Initial profiles along the radial distance in the different magnetic field configurations. We use the representative values of Bϕ = 0.24, Rm = 0.37, vj = 0.8, pa = 0.01, and Bz = 0.05 (for the nonforce-free configuration) in code units. Upper panels: nonforce-free configuration. Lower panel: force-free configurations. Left panels: Magnetic field distribution of the azimuthal (blue line) and axial (green line) components. Right panels: profile distribution of the gas pressure (blue line), magnetic pressure (green line), and total pressure (black line). The dotted black line indicates the shear layer with m = 8 normalized at the higher value in the plot for an easier representation.

Current usage metrics show cumulative count of Article Views (full-text article views including HTML views, PDF and ePub downloads, according to the available data) and Abstracts Views on Vision4Press platform.

Data correspond to usage on the plateform after 2015. The current usage metrics is available 48-96 hours after online publication and is updated daily on week days.

Initial download of the metrics may take a while.