Open Access

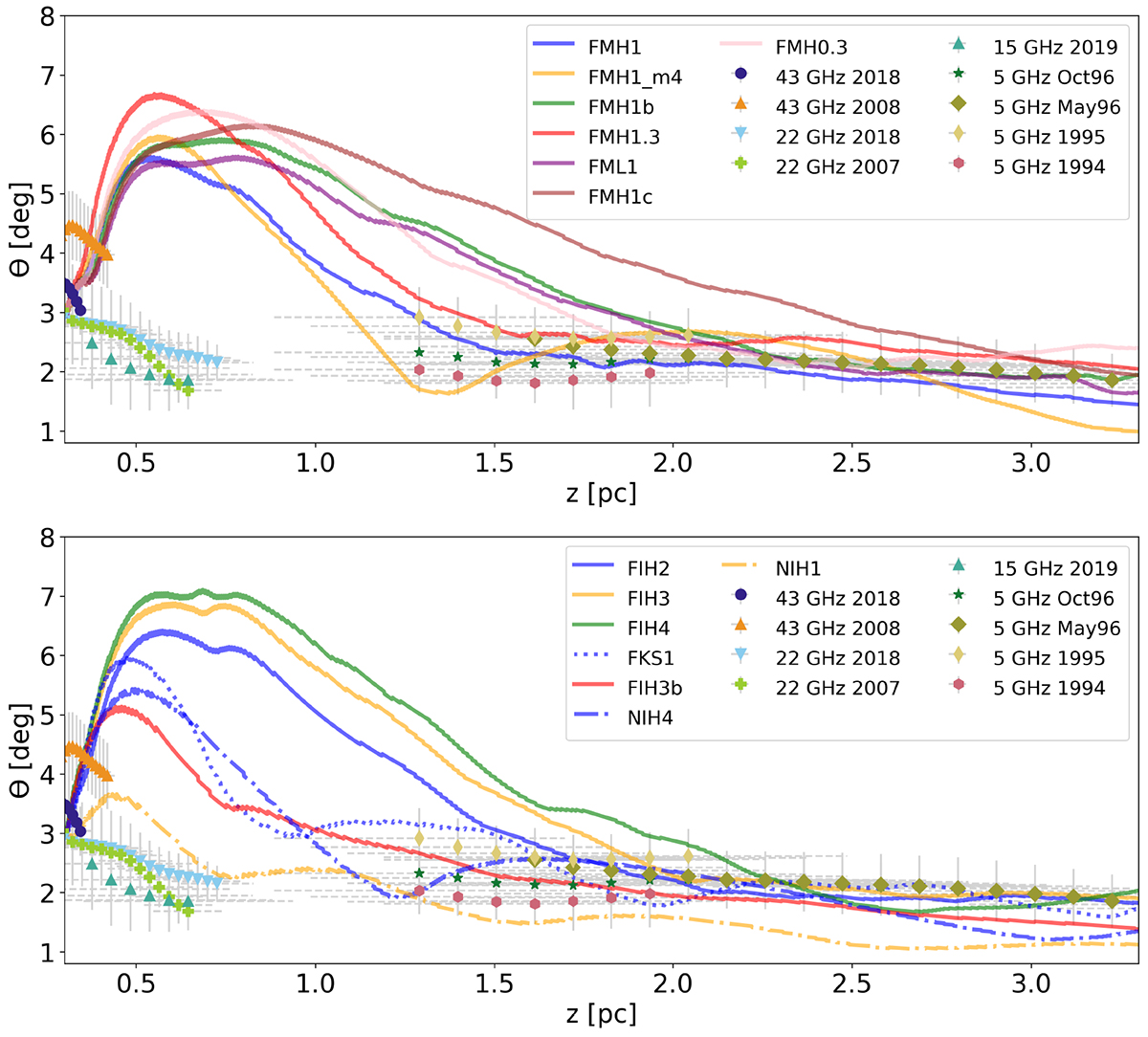
Fig. 9.

image

Download original image

Half-opening angle as a function of distance for all the simulated models. Top panel: magnetically dominated jet models. Bottom panel: thermally and kinetically dominated jet models. The force-free magnetically dominated setups are shown in continuous lines, the force-free thermally dominated in dashed lines, the kinetically dominated in dotted lines, and the nonforce-free in dashed-dotted lines. The data points represent the intrinsic half-opening angle profiles of NGC 315 obtained by Ricci et al. (2022) for multi-frequency and multi-epoch VLBI observations.

Current usage metrics show cumulative count of Article Views (full-text article views including HTML views, PDF and ePub downloads, according to the available data) and Abstracts Views on Vision4Press platform.

Data correspond to usage on the plateform after 2015. The current usage metrics is available 48-96 hours after online publication and is updated daily on week days.

Initial download of the metrics may take a while.