Open Access

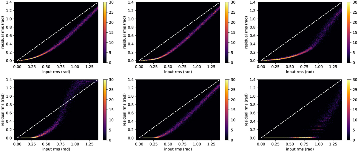
Fig. 2

image

Download original image

Distribution of the reconstruction errors for different reconstructors (left, linear; middle, nonlinear; right, multistep nonlinear). The top and bottom rows of panels show the error distribution after 1 and after 20 iterations, respectively.

Current usage metrics show cumulative count of Article Views (full-text article views including HTML views, PDF and ePub downloads, according to the available data) and Abstracts Views on Vision4Press platform.

Data correspond to usage on the plateform after 2015. The current usage metrics is available 48-96 hours after online publication and is updated daily on week days.

Initial download of the metrics may take a while.