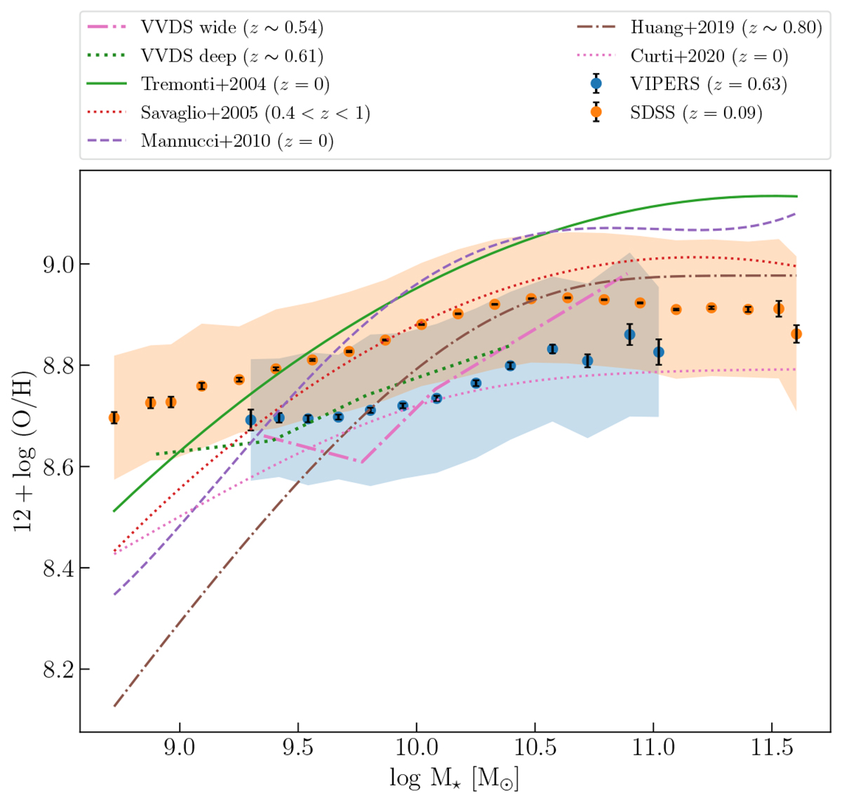
Fig. 15.

Download original image
Comparison of MZR for VIPERS (blue dots), SDSS (orange dots), VVDS wide (dash-dotted pink line), and VVDS deep (dotted forest-green line) samples together with the fit functions in the literature. The shaded areas show the 1σdist, while the black error bars show the 1σmed for the metallicity. The median redshifts are reported for the samples.
Current usage metrics show cumulative count of Article Views (full-text article views including HTML views, PDF and ePub downloads, according to the available data) and Abstracts Views on Vision4Press platform.
Data correspond to usage on the plateform after 2015. The current usage metrics is available 48-96 hours after online publication and is updated daily on week days.
Initial download of the metrics may take a while.