Fig. 8

Download original image
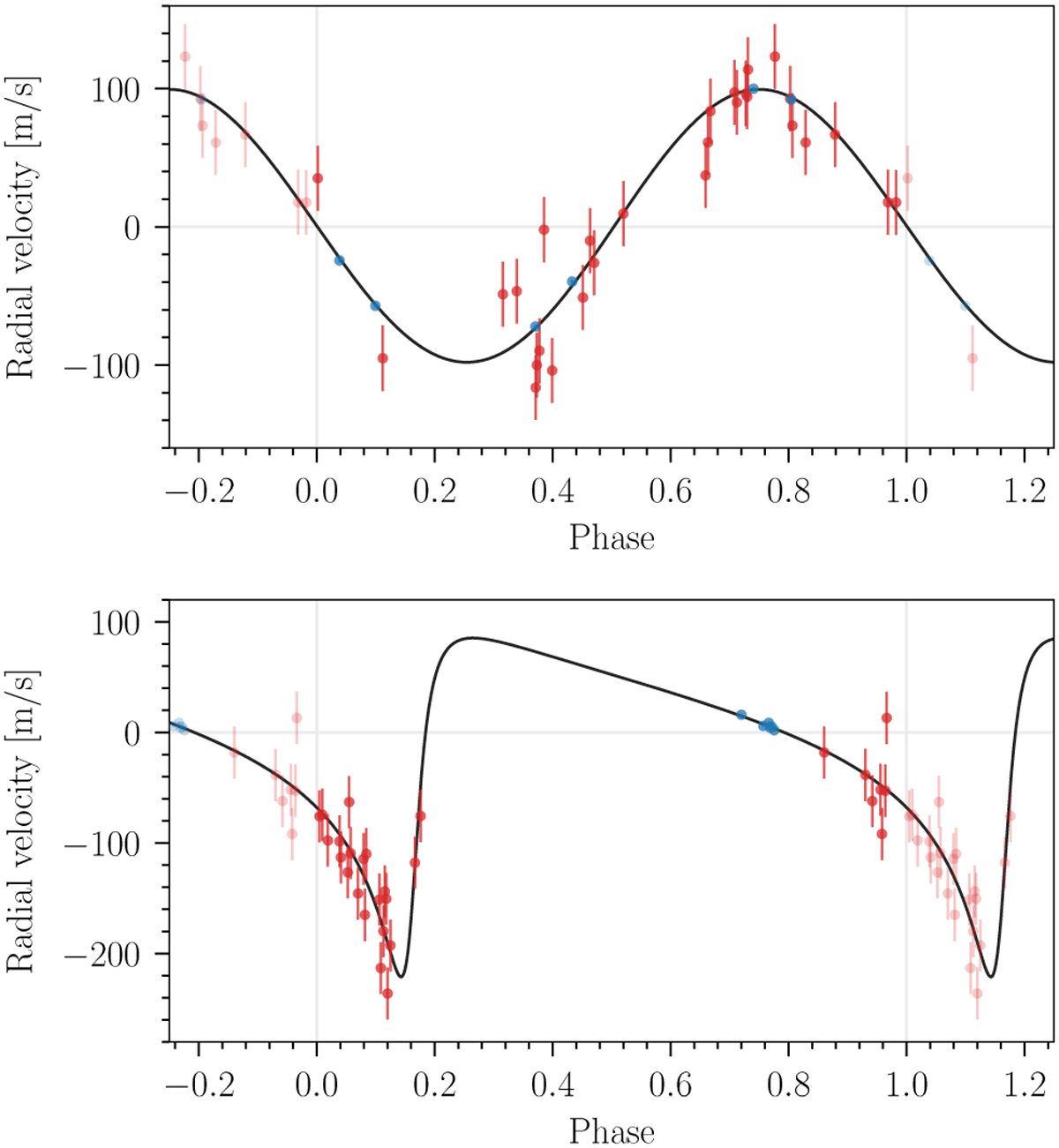
Phased RVs. Top panel: SPIRou (red error bars) and ESPRESSO (blue error bars) RVs corrected for the MAP Keplerian orbit of planet c and phase-folded to the period of planet b (the MAP jitter has been added quadratically to the data error bars). The black line is the best-fit Keplerian model from the joint fit. Bottom panel: idem for the planet c candidate.
Current usage metrics show cumulative count of Article Views (full-text article views including HTML views, PDF and ePub downloads, according to the available data) and Abstracts Views on Vision4Press platform.
Data correspond to usage on the plateform after 2015. The current usage metrics is available 48-96 hours after online publication and is updated daily on week days.
Initial download of the metrics may take a while.