Fig. 10.

Download original image
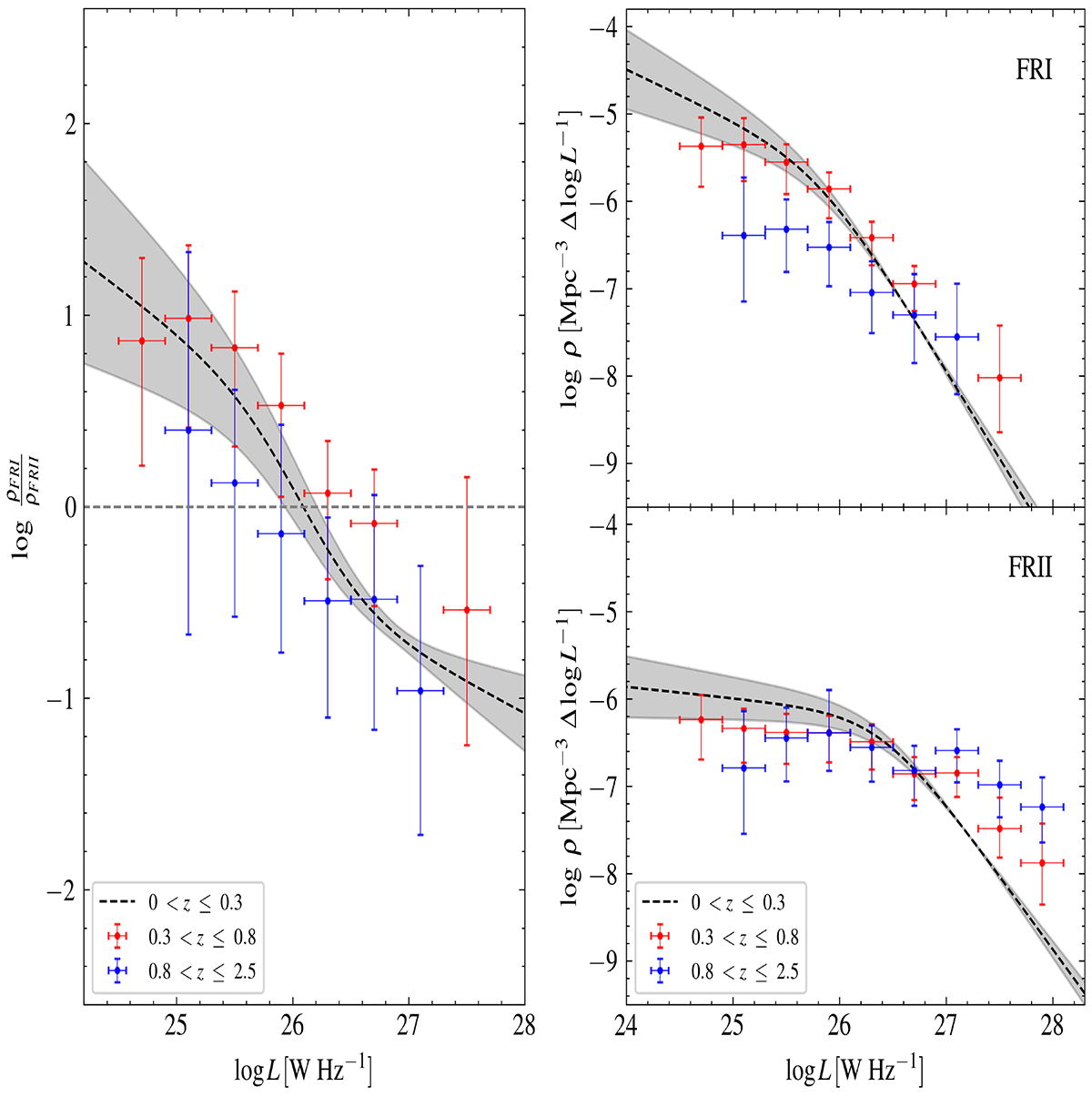
RLF ratio evolution. Left: ratio evolution over different redshift bins. Right: separated FRI (above) and FRII (below) space density evolution plots corresponding to the ratio evolution plot in the left panel. In both figures, we added the Gendre et al. (2013) data points for the higher end of the luminosity range, such that we can further constrain the local RLF, which was fitted with a broken power law from Eq. (8) and corresponding values from Table 1, where we used a 1σ confidence interval. We removed radio luminosity bins which only contain a single source. The 1σ bars from our RLFs are including zmax errors, Poisson errors, completeness corrections errors, and classification errors, as explained in Sects. 4.1.2 and 4.2.
Current usage metrics show cumulative count of Article Views (full-text article views including HTML views, PDF and ePub downloads, according to the available data) and Abstracts Views on Vision4Press platform.
Data correspond to usage on the plateform after 2015. The current usage metrics is available 48-96 hours after online publication and is updated daily on week days.
Initial download of the metrics may take a while.