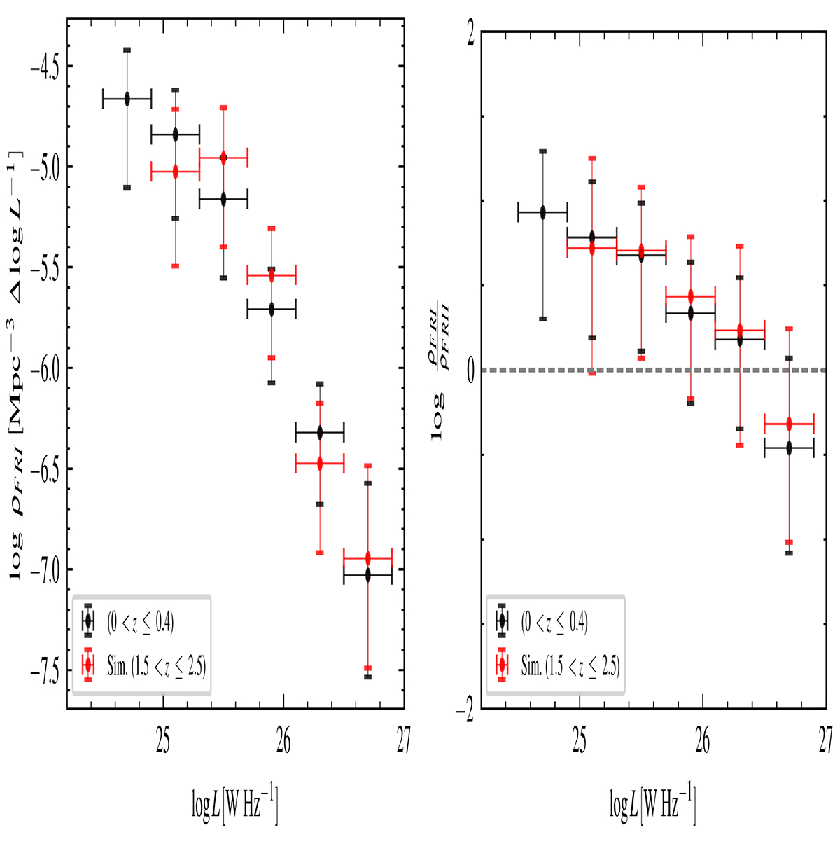
Fig. A.1.

Download original image
RLF space density evolution difference between the original and simulated sample. Left: RLF for FRI sample before and after applying the redshifting algorithm from z < 0.4 to z = 1.5. Right: RLF ratio for a sample of FRI and FRII sources before and after applying the redshifting algorithm from z < 0.4 to z = 1.5. Error bars from our RLFs are including zmax errors, Poisson errors, completeness corrections errors, and classification errors.
Current usage metrics show cumulative count of Article Views (full-text article views including HTML views, PDF and ePub downloads, according to the available data) and Abstracts Views on Vision4Press platform.
Data correspond to usage on the plateform after 2015. The current usage metrics is available 48-96 hours after online publication and is updated daily on week days.
Initial download of the metrics may take a while.