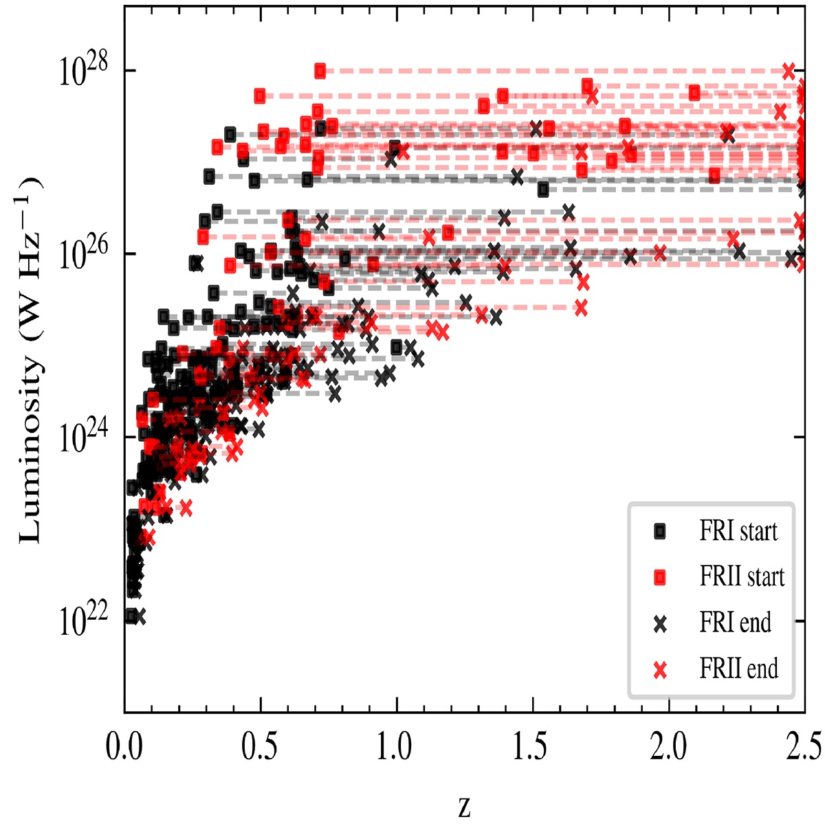
Fig. 6.

Download original image
Luminosity versus redshift increments with the redshifting algorithm for 150 random sources at different luminosities from all sources from M19 and M22 above L150 ∼ 1022 W Hz−1. The starting positions are at the original measured redshifts given by the squared boxes, while the ending positions are the final maximum redshifts a source can be classified (up to z = 2.5).
Current usage metrics show cumulative count of Article Views (full-text article views including HTML views, PDF and ePub downloads, according to the available data) and Abstracts Views on Vision4Press platform.
Data correspond to usage on the plateform after 2015. The current usage metrics is available 48-96 hours after online publication and is updated daily on week days.
Initial download of the metrics may take a while.