Fig. 9.

Download original image
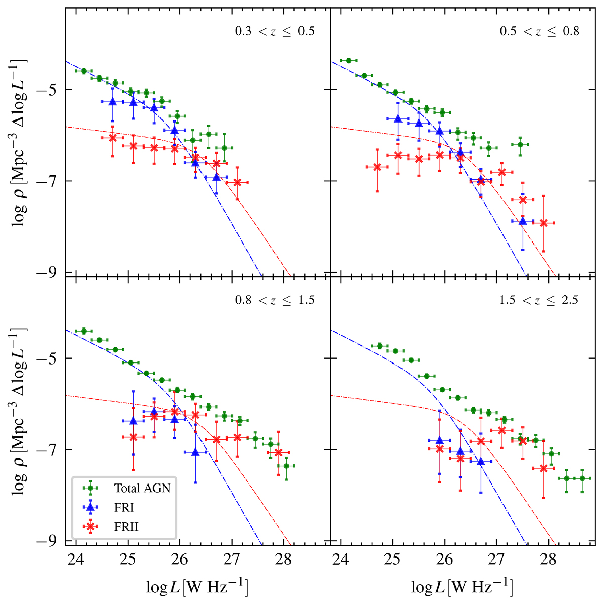
RLF for FRI (blue) and FRII (red) sources split in different redshift bins. For comparison and to show that our FRI and FRII space densities do not extend above the total RLAGN population, we added the total RLAGN RLF from Kondapally et al. (2022) beyond L150 ∼ 1024 W Hz−1 in green. We also added the local RLFs for both FRIs and FRIIs with dot-dashed lines. We removed radio luminosity bins which only contain a single source. The 1σ bars from our RLFs are including zmax errors, Poisson errors, completeness corrections errors, and classification errors, as explained in Sects. 4.1.2 and 4.2. Data points are given in Table 2.
Current usage metrics show cumulative count of Article Views (full-text article views including HTML views, PDF and ePub downloads, according to the available data) and Abstracts Views on Vision4Press platform.
Data correspond to usage on the plateform after 2015. The current usage metrics is available 48-96 hours after online publication and is updated daily on week days.
Initial download of the metrics may take a while.