Fig. 2.

Download original image
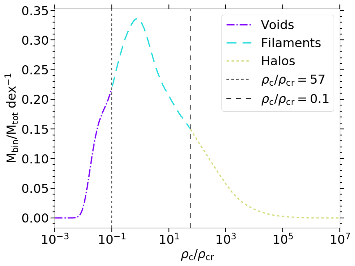
Mass distribution of large-scale structures. Following Artale et al. (2022), the mass distribution within LSS substructures in the z = 0 snapshot of TNG100-3 when binned according to our metric. Yellow, cyan, and purple portions of the curve indicate mass within halos, filaments, and voids, respectively, according to our boundaries (dashed and dot-dashed lines). ρc is the cold dark matter density, and ρcr is the present-day critical density of the Universe.
Current usage metrics show cumulative count of Article Views (full-text article views including HTML views, PDF and ePub downloads, according to the available data) and Abstracts Views on Vision4Press platform.
Data correspond to usage on the plateform after 2015. The current usage metrics is available 48-96 hours after online publication and is updated daily on week days.
Initial download of the metrics may take a while.