Open Access
Fig. 9.

Download original image
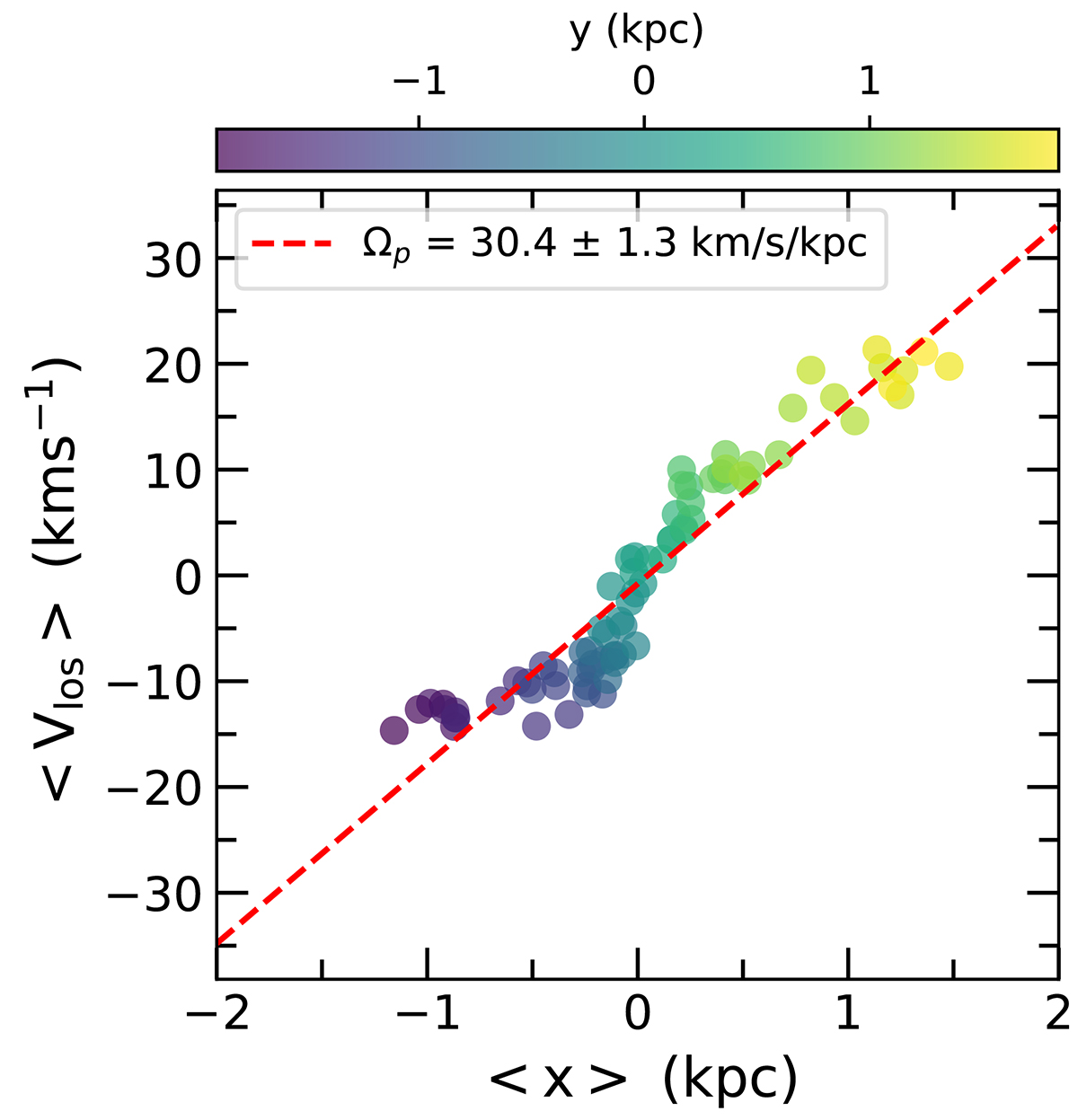
Result of the TW method applied to the LoS velocity field of the LMC from Fig. 8. Only points within the radius R1 defined by the Dehnen method are shown. The red dashed line shows the result of the linear fit to the points, Ωp sin i, with Ωp = 30.4 ± 1.3 km s−1 kpc−1.
Current usage metrics show cumulative count of Article Views (full-text article views including HTML views, PDF and ePub downloads, according to the available data) and Abstracts Views on Vision4Press platform.
Data correspond to usage on the plateform after 2015. The current usage metrics is available 48-96 hours after online publication and is updated daily on week days.
Initial download of the metrics may take a while.