Open Access
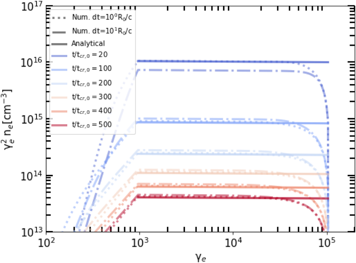
Fig. B.3

Download original image
Comparison of numerical (dashed and dotted lines) resulted by solving eq. B.5 and analytical (solid lines) solutions for adiabatic cooling electrons in an expanding blob with constant injection. Each numerical result was calculated using a different time step as indicated in the legend.
Current usage metrics show cumulative count of Article Views (full-text article views including HTML views, PDF and ePub downloads, according to the available data) and Abstracts Views on Vision4Press platform.
Data correspond to usage on the plateform after 2015. The current usage metrics is available 48-96 hours after online publication and is updated daily on week days.
Initial download of the metrics may take a while.