Fig. 2.

Download original image
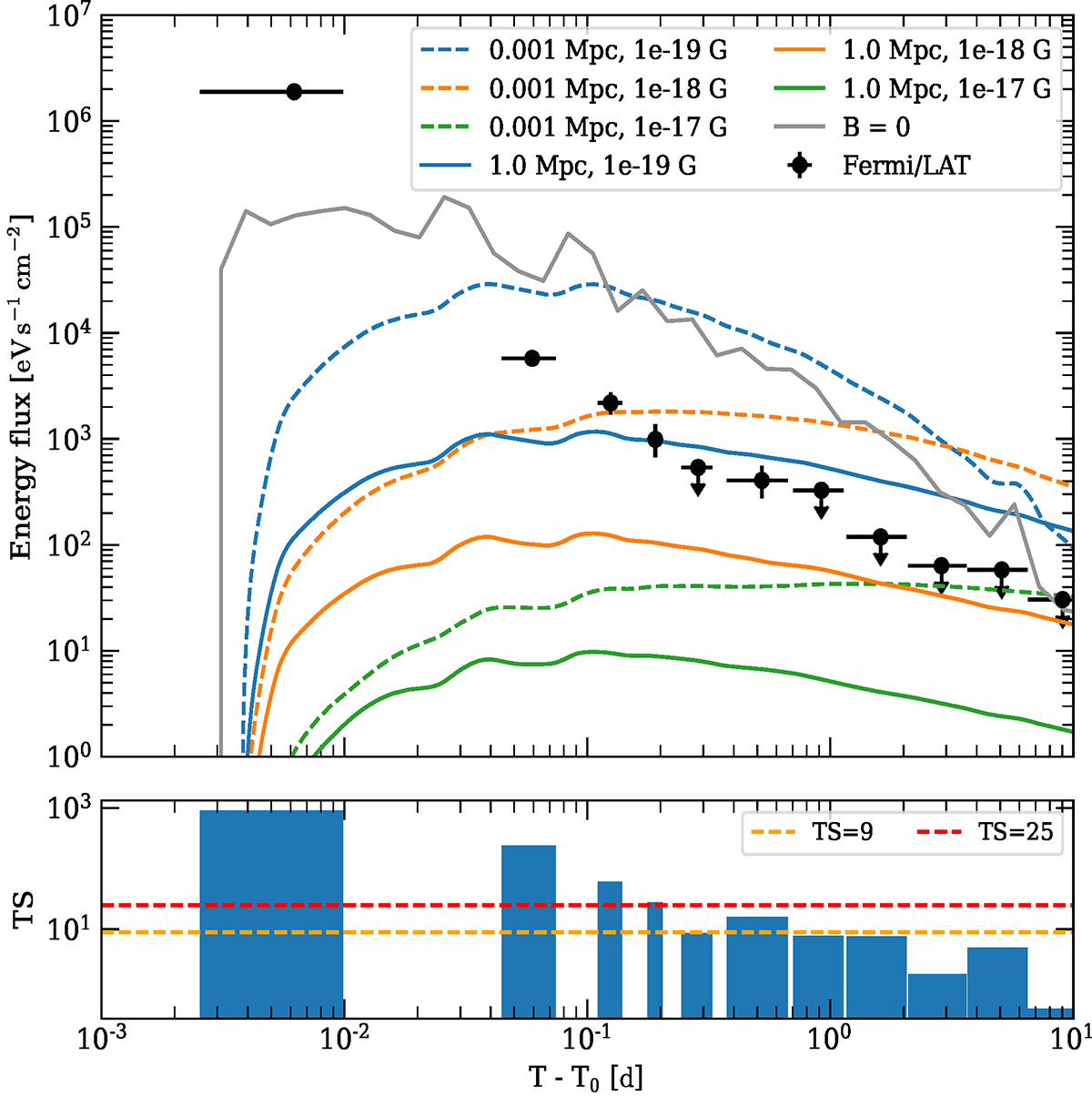
Time evolution of the expected ‘pair echo’ and registered GRB 221009A signal. Top: comparison of measured GRB 221009A Fermi/LAT signal in the 0.1 − 10 GeV energy range with the models of the pair echo emission for different IGMF correlation length and strength combinations, stemming from the LHAASO measurements of its multi-TeV flux. For the time intervals with no significant detection (TS < 9), the 95% confidence level upper limits are given. Short timescale fluctuations visible in the curves are numerical artifacts of the ‘echo’ signal calculation. Bottom: GRB 221009A detection test statistics (TS). Horizontal lines denote the TS = 25 and TS = 9 levels, roughly reflecting the 5σ and 3σ detection significances correspondingly.
Current usage metrics show cumulative count of Article Views (full-text article views including HTML views, PDF and ePub downloads, according to the available data) and Abstracts Views on Vision4Press platform.
Data correspond to usage on the plateform after 2015. The current usage metrics is available 48-96 hours after online publication and is updated daily on week days.
Initial download of the metrics may take a while.