Fig. 12.

Download original image
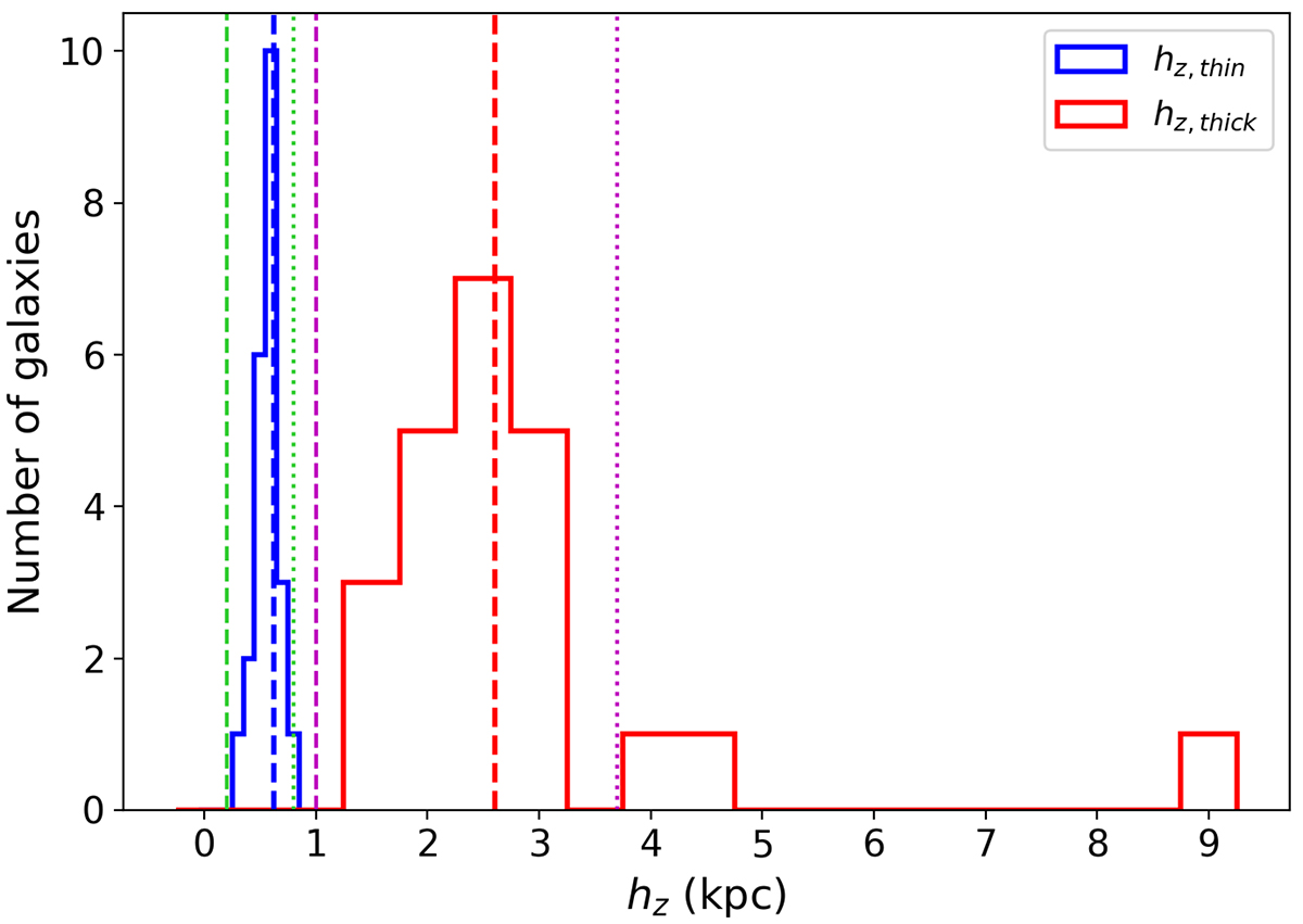
Frequency histograms of hz, thin and hz, thick in our AURIGA sample, with 0.1 and 0.5 kpc bins, respectively (solid blue and red lines). These distributions have a weighted average value of 0.6 and 2.6 kpc, respectively, indicated as vertical dashed blue and red lines. Vertical green and magenta lines indicate the average (dashed) and maximum (dotted) thin- and thick-disk values from observations in the Comerón et al. (2018) sample.
Current usage metrics show cumulative count of Article Views (full-text article views including HTML views, PDF and ePub downloads, according to the available data) and Abstracts Views on Vision4Press platform.
Data correspond to usage on the plateform after 2015. The current usage metrics is available 48-96 hours after online publication and is updated daily on week days.
Initial download of the metrics may take a while.