Open Access

Fig. 2.

image

Download original image

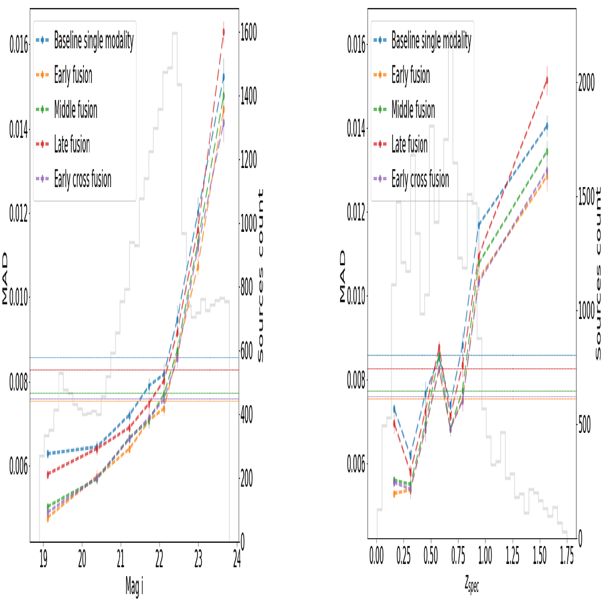
MAD of the redshift estimation as a function of magnitude (i band, left panel) and spectroscopic redshift (right panel) for different types of fusion, compared to the baseline (single modality) model for the HSC 9-band dataset. The gray histograms represent the magnitude and redshift distributions, the horizontal lines show the mean MAD, and the error bars represent the standard deviation between the five validation folds. The data were split into eight x-axis bins containing the same number of objects, each point representing the center of the bin.

Current usage metrics show cumulative count of Article Views (full-text article views including HTML views, PDF and ePub downloads, according to the available data) and Abstracts Views on Vision4Press platform.

Data correspond to usage on the plateform after 2015. The current usage metrics is available 48-96 hours after online publication and is updated daily on week days.

Initial download of the metrics may take a while.