Fig. 3.

Download original image
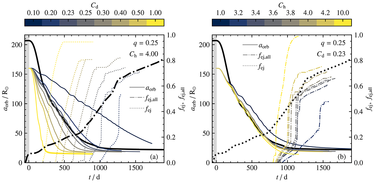
Effects of Cd and Ch on the spiral-in curves, aorb, and the envelope-ejection fraction, fej. In panel a the heating parameter is held constant at Ch = 4.00 and the drag-force parameter, Cd, is varied. In panel b the drag-force parameter is held constant at Cd = 0.23 and the heating parameter, Ch, is varied. The thick black lines in both panels show the results from the 3D hydrodynamic CE simulation of Sand et al. (2020), which are shifted by Δtmin = −58 d, the time shift determined using the best-fitting 1D simulation with Cd = 0.23 and Ch = 4.00.
Current usage metrics show cumulative count of Article Views (full-text article views including HTML views, PDF and ePub downloads, according to the available data) and Abstracts Views on Vision4Press platform.
Data correspond to usage on the plateform after 2015. The current usage metrics is available 48-96 hours after online publication and is updated daily on week days.
Initial download of the metrics may take a while.