Fig. 6.

Download original image
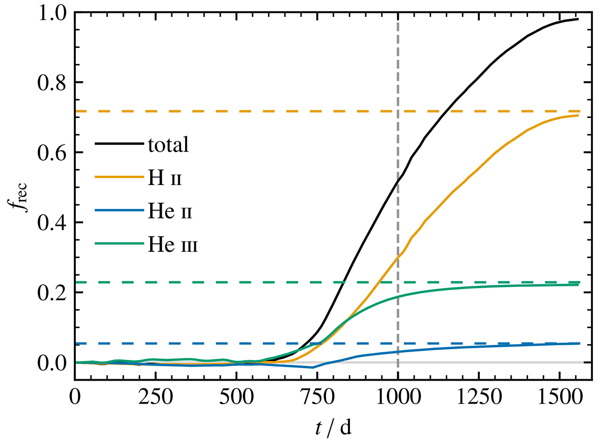
Fraction of released recombination energy (frec) and contributions of hydrogen (H II), singly ionized helium (He II), and doubly ionized helium (He III) for the simulation with q = 0.25, Cd = 0.23, and Ch = 4.0. The total fraction of released recombination energy is shown in black. The horizontal dashed colored lines show the initially available recombination energy in each species. The vertical dashed gray line indicates the end of the dynamical plunge-in phase as determined by Eq. (22).
Current usage metrics show cumulative count of Article Views (full-text article views including HTML views, PDF and ePub downloads, according to the available data) and Abstracts Views on Vision4Press platform.
Data correspond to usage on the plateform after 2015. The current usage metrics is available 48-96 hours after online publication and is updated daily on week days.
Initial download of the metrics may take a while.