Open Access

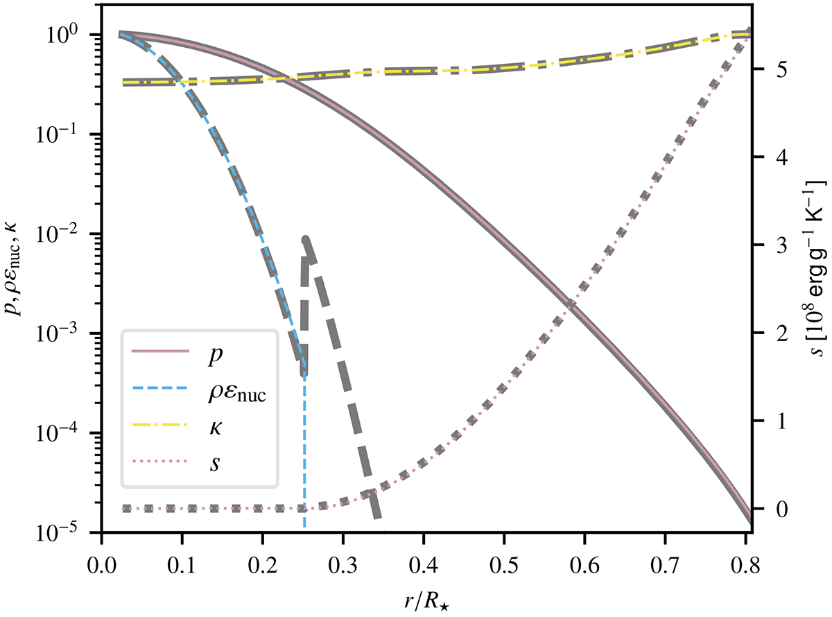
Fig. 1.

image

Download original image

Stratification of the pressure p, energy generation rate per unit volume ρεnuc, opacity κ, and specific entropy s in the MESA model (thick grey lines) and in the SLH model at t = 0 (thin coloured lines). The profiles of p and ρεnuc are normalised such that their maximum values are unity. The entropy of the convective core is set to 0. The jump in ρεnuc at the boundary of the fully-mixed core is caused by a slight change in chemical composition, which is neglected in the SLH model.

Current usage metrics show cumulative count of Article Views (full-text article views including HTML views, PDF and ePub downloads, according to the available data) and Abstracts Views on Vision4Press platform.

Data correspond to usage on the plateform after 2015. The current usage metrics is available 48-96 hours after online publication and is updated daily on week days.

Initial download of the metrics may take a while.