Open Access

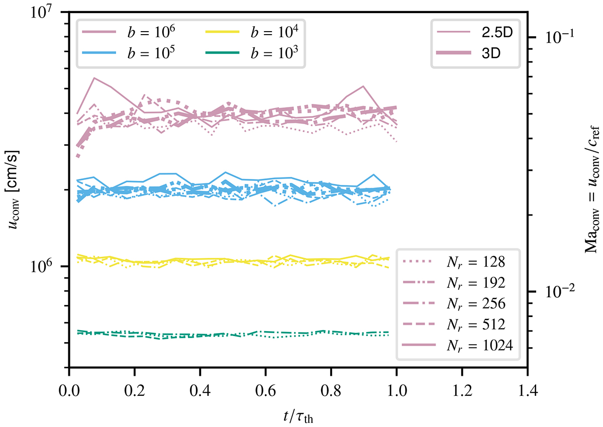
Fig. 5.

image

Download original image

Time evolution of the convective velocity uconv in all of our simulations with radiative diffusion. The time axis shows simulation time as a fraction of the thermal timescale τth(b). Each data point corresponds to a time average over 0.05τth. The right vertical axis shows the corresponding Mach numbers computed using the reference sound speed cref = 7.96 × 107 cm s−1.

Current usage metrics show cumulative count of Article Views (full-text article views including HTML views, PDF and ePub downloads, according to the available data) and Abstracts Views on Vision4Press platform.

Data correspond to usage on the plateform after 2015. The current usage metrics is available 48-96 hours after online publication and is updated daily on week days.

Initial download of the metrics may take a while.