Open Access

Fig. 8.

image

Download original image

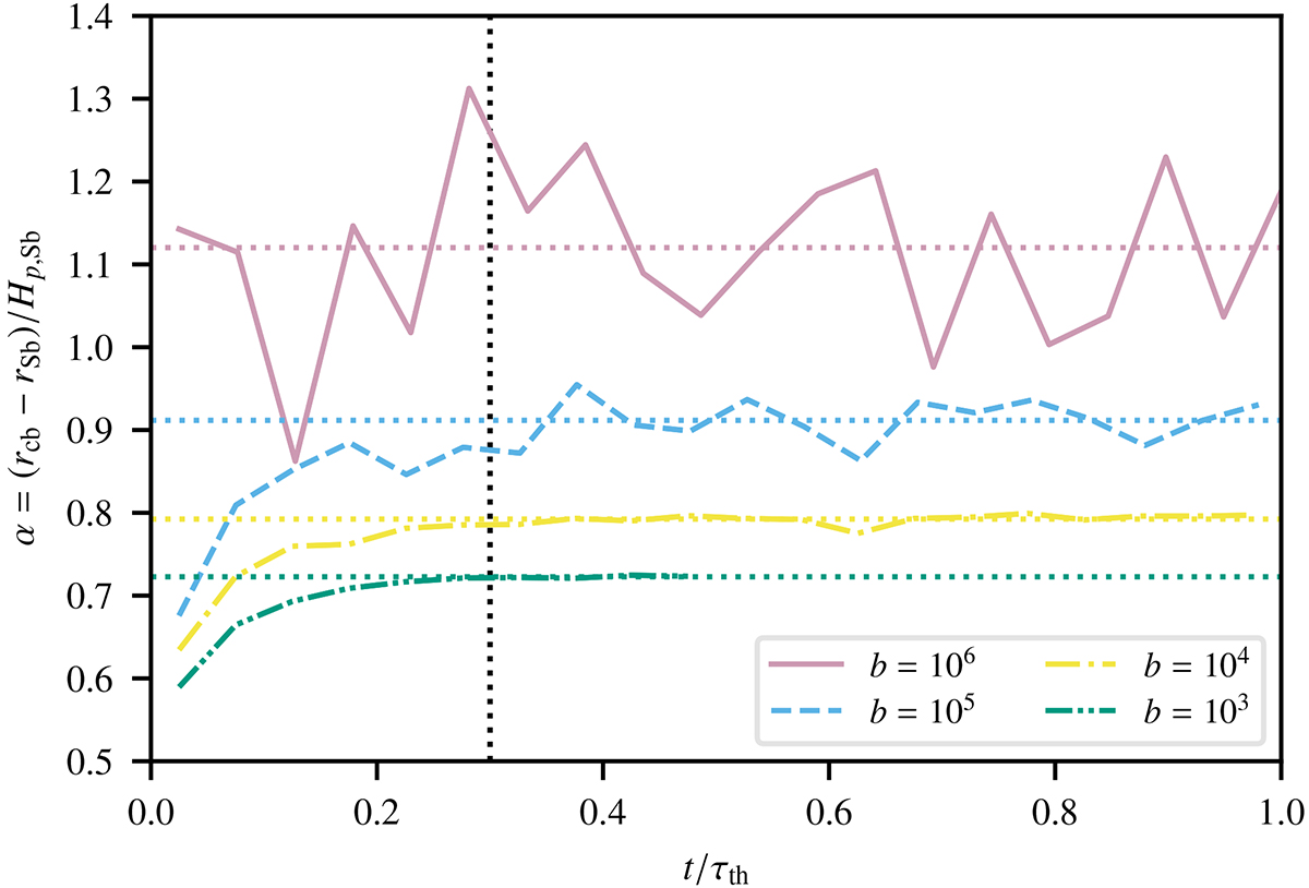
Time evolution of the dimensionless penetration distance α = (rcb − rSb)/Hp, Sb, where rcb is the radius of the convective boundary, rSb the radius of the Schwarzschild boundary, and Hp, Sb the pressure scale height at rSb. The four example simulations are 2.5D with Nr = 512. The time axis shows the time as a fraction of the thermal timescale τth(b). The dotted vertical line at t = 0.3τth marks the end of the initial transient. Each data point corresponds to a time average over 0.05τth.

Current usage metrics show cumulative count of Article Views (full-text article views including HTML views, PDF and ePub downloads, according to the available data) and Abstracts Views on Vision4Press platform.

Data correspond to usage on the plateform after 2015. The current usage metrics is available 48-96 hours after online publication and is updated daily on week days.

Initial download of the metrics may take a while.