Open Access
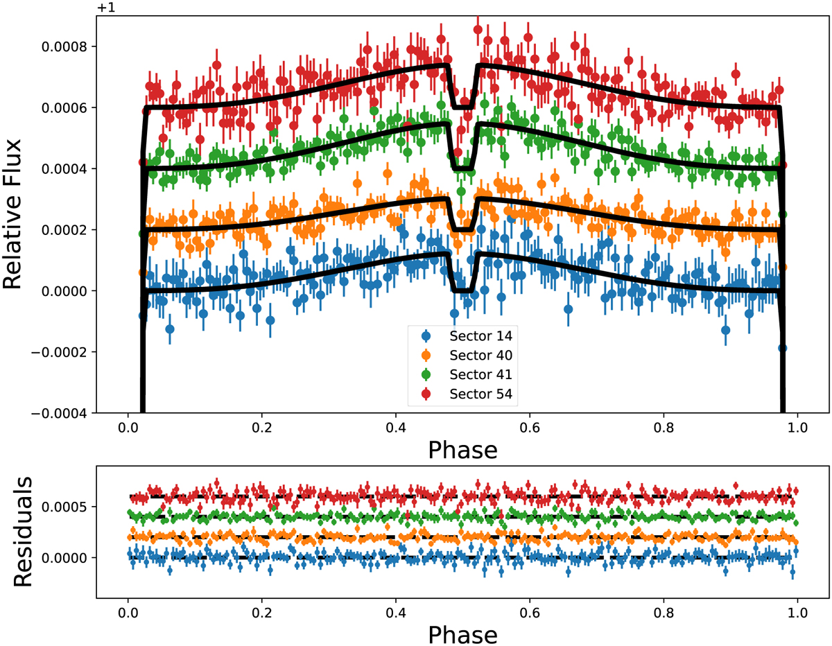
Fig. B.3

Download original image
Individual sector-wise TESS phase curves of KELT-20b. The variation in the occultation depth is somewhat apparent between Sectors 40 and 41. The sector-wise occultation depths are , 102±34, 149±35, and
ppm for sectors 14, 40, 41, and 54 ppm, respectively. The corresponding residuals are in the bottom panel.
Current usage metrics show cumulative count of Article Views (full-text article views including HTML views, PDF and ePub downloads, according to the available data) and Abstracts Views on Vision4Press platform.
Data correspond to usage on the plateform after 2015. The current usage metrics is available 48-96 hours after online publication and is updated daily on week days.
Initial download of the metrics may take a while.