Fig. 2.

Download original image
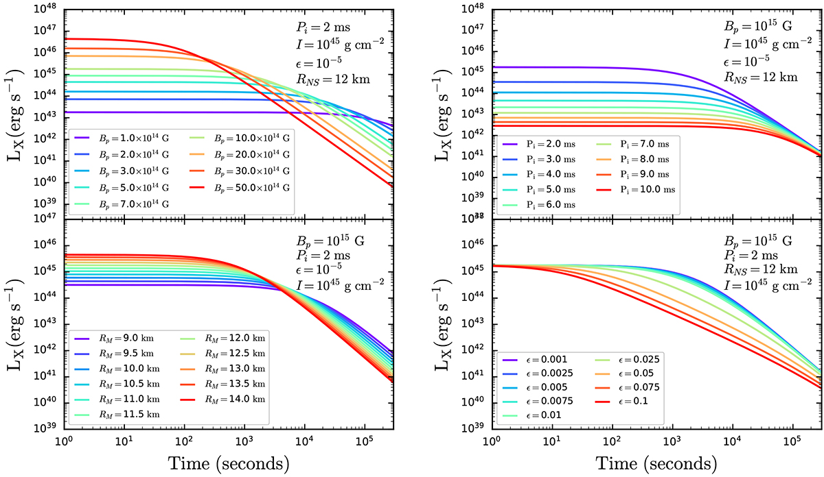
Theoretical light curves in the free-zone using Eqs. (1), (2) and (A.2). We explore how the light curve changes as we vary the magnetic field (top-left panel), the initial spin period (top-right panel), the magnetar radius (bottom-left panel), and the ellipticity (bottom-right panel). The text in the upper right of each panel shows the fixed parameters in the numerical solutions, while the legends and colored curves indicate the varied parameters and the range in the values.
Current usage metrics show cumulative count of Article Views (full-text article views including HTML views, PDF and ePub downloads, according to the available data) and Abstracts Views on Vision4Press platform.
Data correspond to usage on the plateform after 2015. The current usage metrics is available 48-96 hours after online publication and is updated daily on week days.
Initial download of the metrics may take a while.