Fig. 5.

Download original image
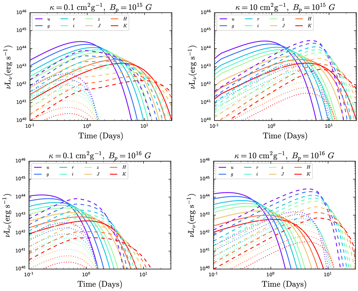
Theoretical light curves of the merger-nova emission, across several common optical/NIR filters, considering opacities of κ = 0.1 (left panels) and 10 cm2 g−1 (right panels), representing the lanthanide-free and -rich ejecta cases, respectively. KN emission without any magnetar spin-down enhancement is shown for comparison (dotted lines). The model fixed parameters are Pi = 5 ms, ξ = 0.3, and η = 10−3, along with two adopted ejecta masses of Mej = 10−4 (solid lines) and 10−2 M⊙ (dashed lines). The upper and lower panels adopt magnetic field strengths of Bp = 1015 G and 1016 G, respectively.
Current usage metrics show cumulative count of Article Views (full-text article views including HTML views, PDF and ePub downloads, according to the available data) and Abstracts Views on Vision4Press platform.
Data correspond to usage on the plateform after 2015. The current usage metrics is available 48-96 hours after online publication and is updated daily on week days.
Initial download of the metrics may take a while.