Open Access

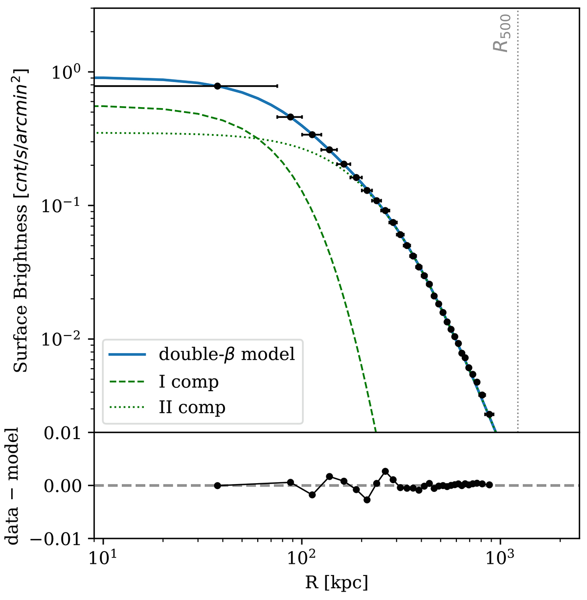
Fig. 3.

image

Download original image

X-ray surface brightness profile, together with the best-fit double-β model of Eq. (2). The best-fit parameters are Σ01 = 0.56 ± 0.05 cst s−1 arcmin−2, rc1 = 189.62 ± 0.41 kpc, β1 = 2.17 ± 0.91 and Σ02 = 0.35 ± 0.04 cst s−1 arcmin−2, rc2 = 257.04 ± 0.25 kpc, β2 = 0.80 ± 0.04 with χ2/d.o.f. ≃ 1.64. The vertical line indicates R500. The surface brightness values have errors on the order of 1−2%; thus, error bars on the y-axis are not visible in this plot.

Current usage metrics show cumulative count of Article Views (full-text article views including HTML views, PDF and ePub downloads, according to the available data) and Abstracts Views on Vision4Press platform.

Data correspond to usage on the plateform after 2015. The current usage metrics is available 48-96 hours after online publication and is updated daily on week days.

Initial download of the metrics may take a while.