Open Access
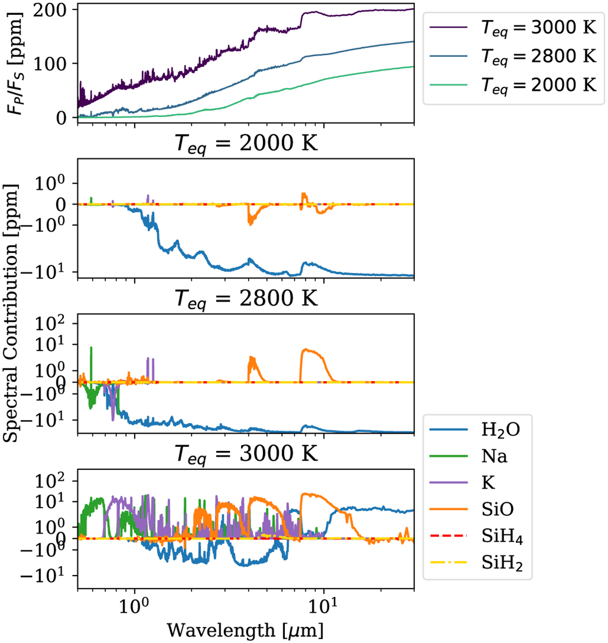
Fig. 12

Download original image
Spectral contributions of different species for bar of monoatomic hydrogen and for different equilibrium temperatures Teq. SiH4 and SiH2 are negligible. SiO is linked to very strong emission features at 2, 4, and 9 µm at Teq = 3000 K. H2O is also seen in emission at wavelengths >10 µm.
Current usage metrics show cumulative count of Article Views (full-text article views including HTML views, PDF and ePub downloads, according to the available data) and Abstracts Views on Vision4Press platform.
Data correspond to usage on the plateform after 2015. The current usage metrics is available 48-96 hours after online publication and is updated daily on week days.
Initial download of the metrics may take a while.