Open Access
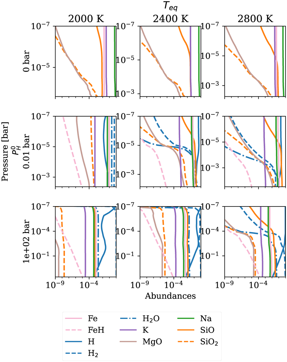
Fig. 3

Download original image
Abundances in the atmosphere for cases with , 10–2 and 102 bar (rows) and equilibrium temperatures of 2000, 2400 and 2800 K (columns). The y-axis scale is different from one plot to the other; the minimum pressure is constant (10–7 bar) while the surface pressure changes for each case.
Current usage metrics show cumulative count of Article Views (full-text article views including HTML views, PDF and ePub downloads, according to the available data) and Abstracts Views on Vision4Press platform.
Data correspond to usage on the plateform after 2015. The current usage metrics is available 48-96 hours after online publication and is updated daily on week days.
Initial download of the metrics may take a while.