Fig. 4

Download original image
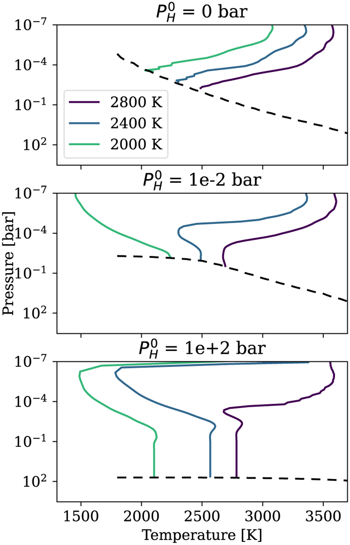
Thermal structure of the atmosphere calculated by ATMO (colored lines) for different monoatomic pressure of hydrogen . The colors indicate the equilibrium temperature, Teq, chosen for the simulation. The dotted lines show the vapor pressure corresponding to the limit between the magma ocean and the gaseous atmosphere, for each case. The silicate case (top plot) is more extensively discussed in Appendix A.
Current usage metrics show cumulative count of Article Views (full-text article views including HTML views, PDF and ePub downloads, according to the available data) and Abstracts Views on Vision4Press platform.
Data correspond to usage on the plateform after 2015. The current usage metrics is available 48-96 hours after online publication and is updated daily on week days.
Initial download of the metrics may take a while.