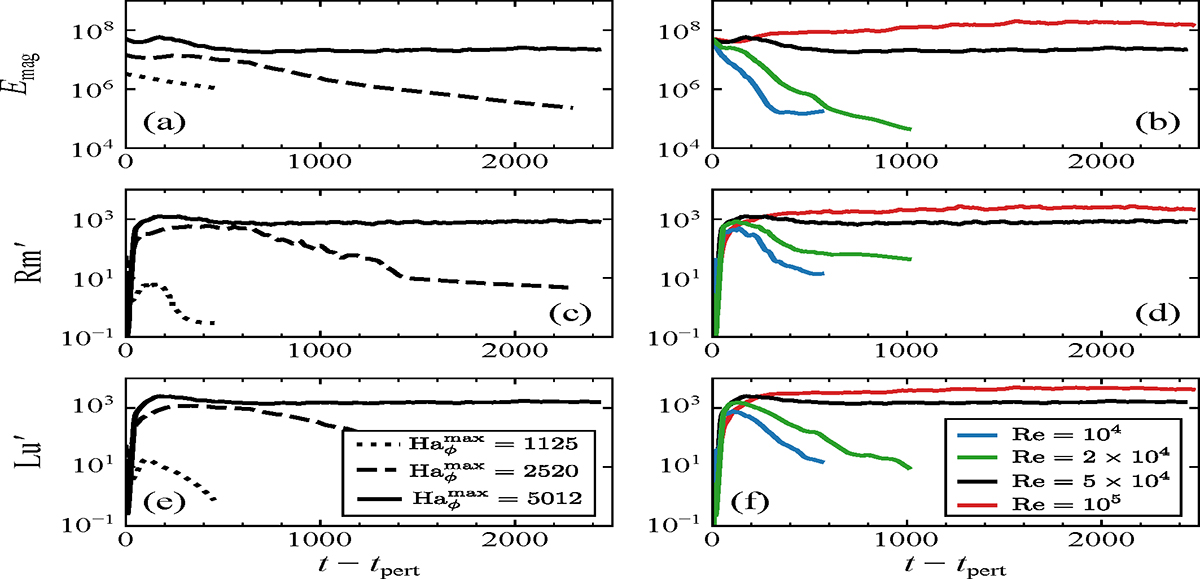
Fig. 10.

Download original image
Temporal evolution of the (a,b) magnetic energy Emag, the (c,d) turbulent magnetic Reynolds number Rm′, and the (e,f) turbulent Lundquist number Lu′ for six unstratified runs at Pm = 1. The solid black line shows the fiducial dynamo run U0. The left (right) panels present runs at Re = 5 × 104 ( = 5012) and different
(Re) as indicated in the legend of the bottom panel.
Current usage metrics show cumulative count of Article Views (full-text article views including HTML views, PDF and ePub downloads, according to the available data) and Abstracts Views on Vision4Press platform.
Data correspond to usage on the plateform after 2015. The current usage metrics is available 48-96 hours after online publication and is updated daily on week days.
Initial download of the metrics may take a while.