Open Access
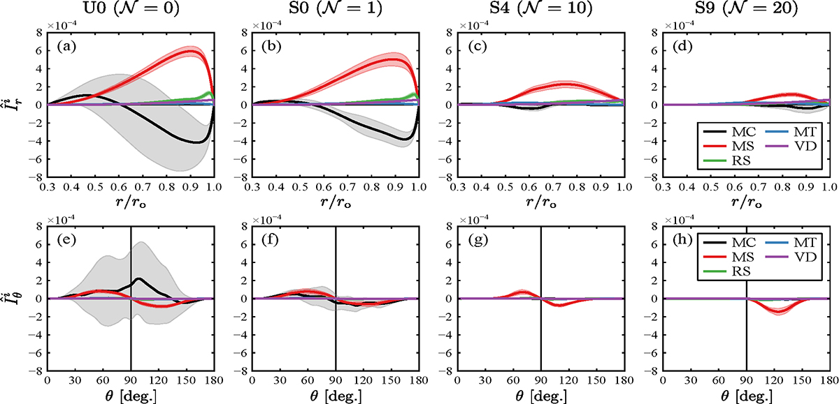
Fig. 16.

Download original image
Same as Fig. 15 but for the three stratified runs S0, S4, and S9 at Pr = 10−3 and 𝒩 = 1, 10, and 20 respectively (second to fourth from left panels). The leftmost panels show the unstratified fiducial dynamo run U0 for the sake of comparison. All runs are at Re = 5 × 104 and Pm = 1.
Current usage metrics show cumulative count of Article Views (full-text article views including HTML views, PDF and ePub downloads, according to the available data) and Abstracts Views on Vision4Press platform.
Data correspond to usage on the plateform after 2015. The current usage metrics is available 48-96 hours after online publication and is updated daily on week days.
Initial download of the metrics may take a while.