Fig. 2.

Download original image
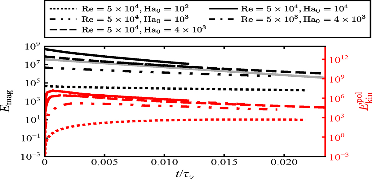
Temporal evolution of the magnetic energy Emag (black lines) and of the poloidal kinetic energy (red lines) in five unstratified axisymmetric runs at different Re and Ha0 (see the legend at the top). The magnetic Prandtl number Pm is 1. Time is scaled with the viscous diffusion time τν here. Note that the left and right vertical axes span different ranges. The gray line displays the exponential Ohmic decay rate based on
for the run at Re = 5 × 104 and Ha0 = 4 × 103 (see the main text for details).
Current usage metrics show cumulative count of Article Views (full-text article views including HTML views, PDF and ePub downloads, according to the available data) and Abstracts Views on Vision4Press platform.
Data correspond to usage on the plateform after 2015. The current usage metrics is available 48-96 hours after online publication and is updated daily on week days.
Initial download of the metrics may take a while.