Fig. 6.

Download original image
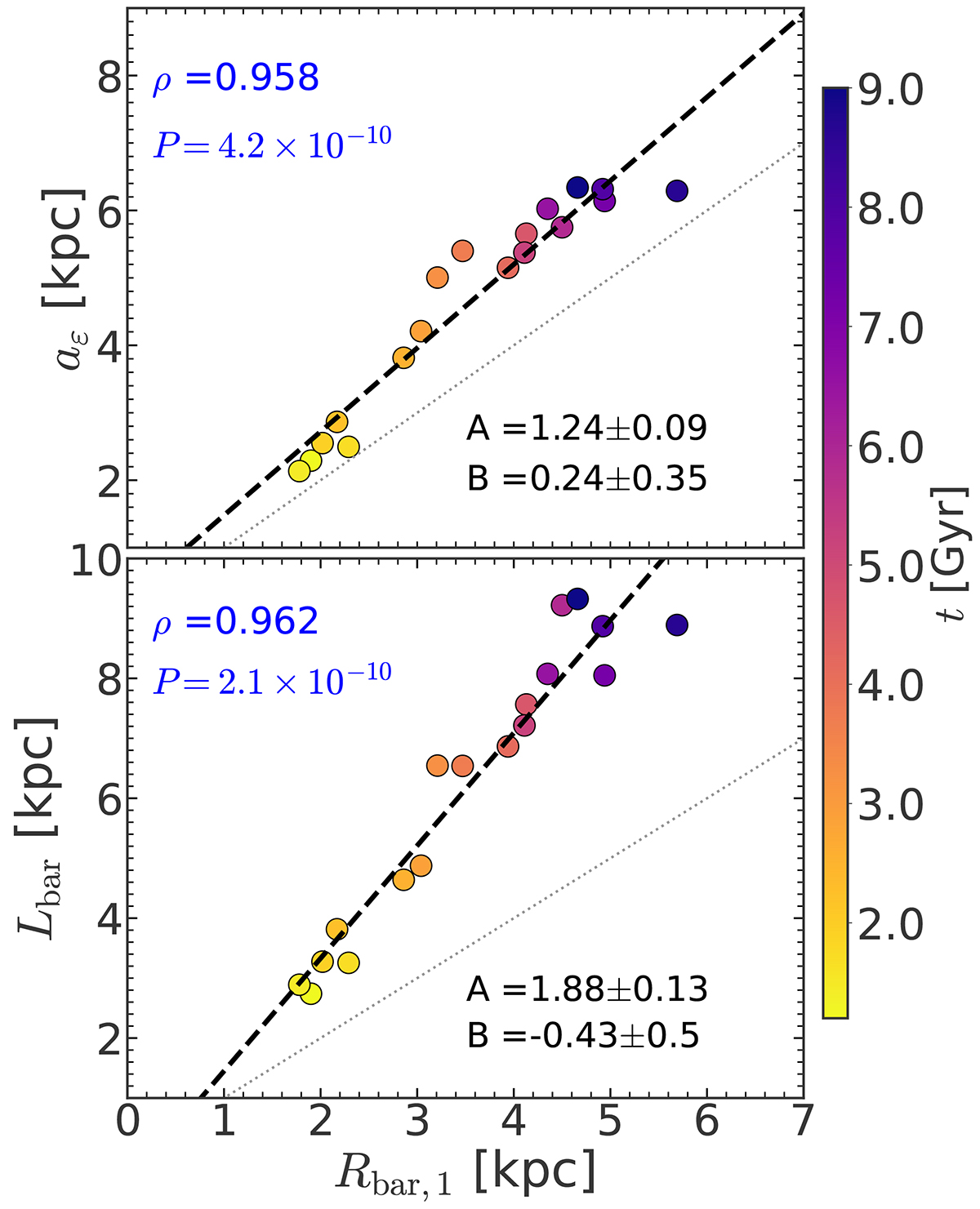
Correlation between the radial location of the peak ellipticity, aε and the bar length, Rbar, 1 (obtained from the constancy of the phase-angle ϕ2) at different times (top panel). Correlation between the photometric length of the bar, obtained from the constancy of position angle of fitted ellipses, Lbar and the bar length, Rbar, 1 (bottom panel). In each case, a straight line of the form Y = AX + B is fitted (black dashed line), and the corresponding best-fit values are quoted. The Pearson correlation coefficients are quoted in the top left corner of each sub-panel. The grey dotted line in each sub-panel denotes the one-to-one correspondence. Both the photometric estimators overestimate the length of the bar.
Current usage metrics show cumulative count of Article Views (full-text article views including HTML views, PDF and ePub downloads, according to the available data) and Abstracts Views on Vision4Press platform.
Data correspond to usage on the plateform after 2015. The current usage metrics is available 48-96 hours after online publication and is updated daily on week days.
Initial download of the metrics may take a while.