Fig. A.1.

Download original image
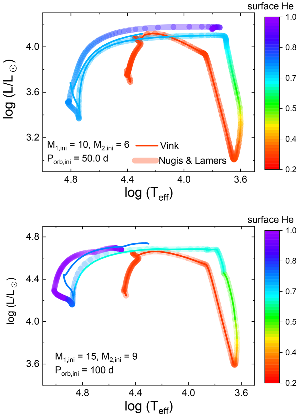
HRD for the primary component of a 10+6 M⊙ binary with P0 = 50 days (upper panel) and a 15+9 M⊙ binary with P0 = 100 days (lower panel) forming HeS stars for wind mass-loss laws of HeS stars according to Nugis & Lamers (2000) and Vink (2017) (the thin and thick lines, respectively.) The color scale to the right codes the surface He abundance Y.
Current usage metrics show cumulative count of Article Views (full-text article views including HTML views, PDF and ePub downloads, according to the available data) and Abstracts Views on Vision4Press platform.
Data correspond to usage on the plateform after 2015. The current usage metrics is available 48-96 hours after online publication and is updated daily on week days.
Initial download of the metrics may take a while.