Open Access
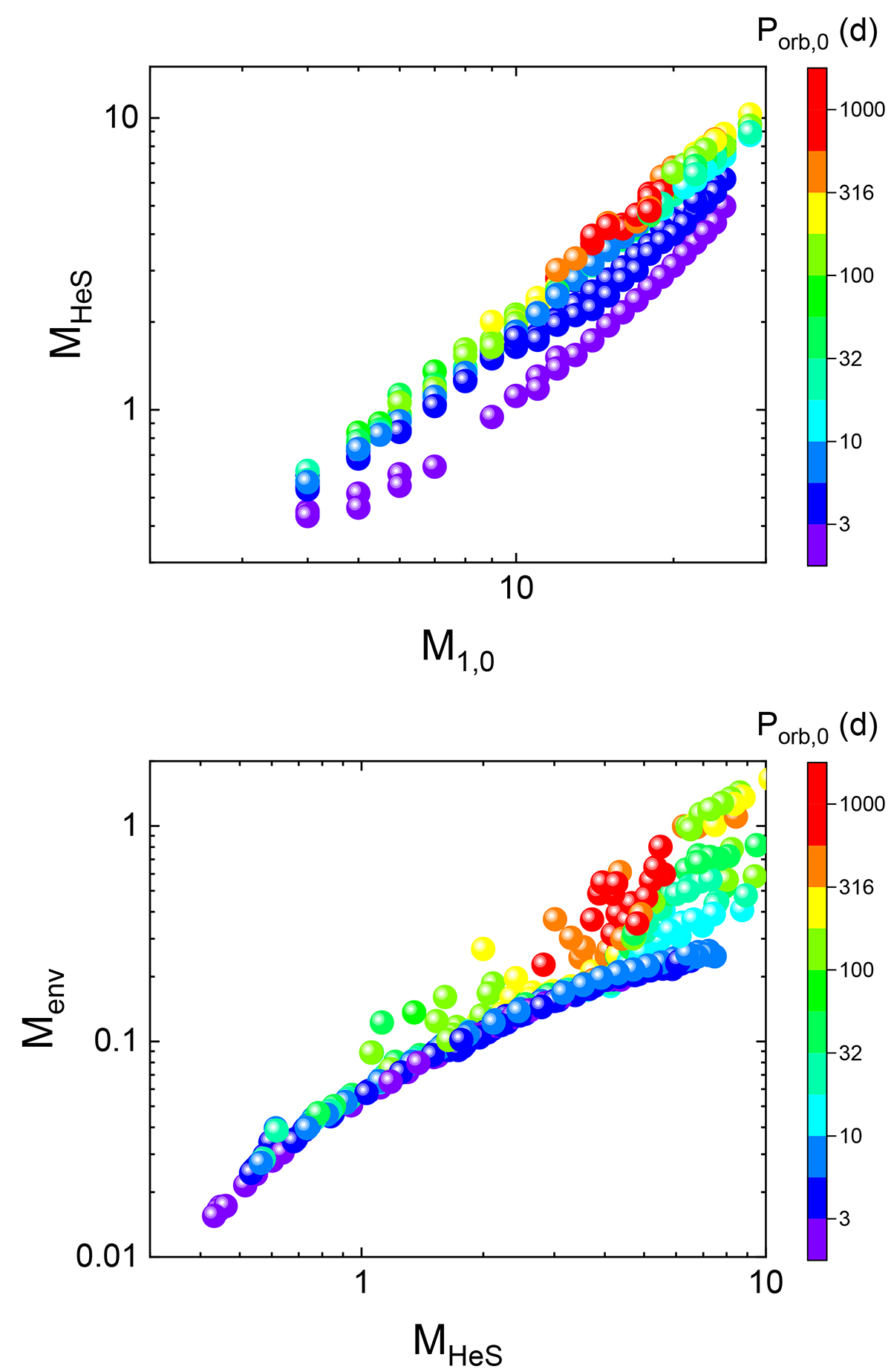
Fig. 2.

Download original image
ZAMS mass – remnant mass (upper panel) and remnant mass – H/He envelope mass (lower panel) relations for the HeS stars produced by the systems from the grid of initial systems. Color-coded are ZAMS periods of the binaries. All masses are in solar units.
Current usage metrics show cumulative count of Article Views (full-text article views including HTML views, PDF and ePub downloads, according to the available data) and Abstracts Views on Vision4Press platform.
Data correspond to usage on the plateform after 2015. The current usage metrics is available 48-96 hours after online publication and is updated daily on week days.
Initial download of the metrics may take a while.