Fig. 9.

Download original image
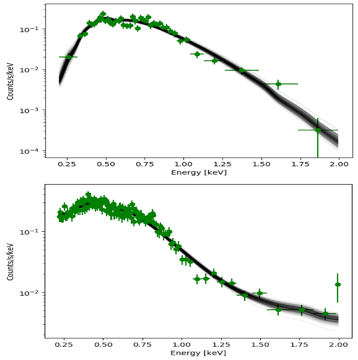
Spectral fit of eRASSU J060839.5−704014 using the eROSITA spectrum from eRASS:4 (top) and EPIC-pn (bottom) together with the posterior distributions of model parameters. The spectrum for each eRASS was extracted by combining data from the TMs with an on-chip filter. See Table 2 for the model parameters. Darker and lighter bands enclose the 68% and 95% posterior uncertainties on the model at each energy.
Current usage metrics show cumulative count of Article Views (full-text article views including HTML views, PDF and ePub downloads, according to the available data) and Abstracts Views on Vision4Press platform.
Data correspond to usage on the plateform after 2015. The current usage metrics is available 48-96 hours after online publication and is updated daily on week days.
Initial download of the metrics may take a while.