Open Access
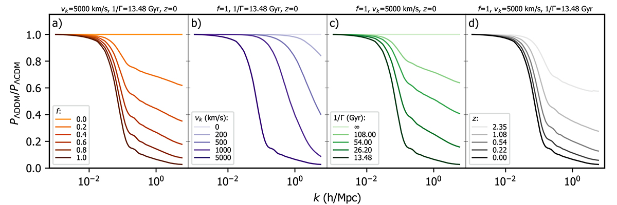
Fig. 1.

Download original image
Effects of two-body decays on the non-linear matter spectrum from N-body simulations. The fiducial (ΛCDM) power spectrum corresponds to a constant line equal to one, while the power suppressions for varying f, vk, Γ, and z are shown in the panels a, b, c, and d.
Current usage metrics show cumulative count of Article Views (full-text article views including HTML views, PDF and ePub downloads, according to the available data) and Abstracts Views on Vision4Press platform.
Data correspond to usage on the plateform after 2015. The current usage metrics is available 48-96 hours after online publication and is updated daily on week days.
Initial download of the metrics may take a while.