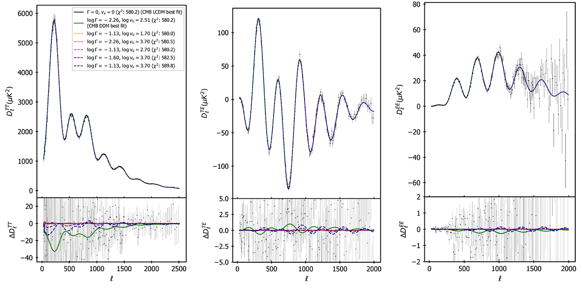
Fig. C.4.

Download original image
Planck TTTEEE angular power spectra as affected by different decaying dark matter parameter configurations. Black (green) solid lines represent the best fit in the case of ΛCDM (ΛDDM), and dashed curves depict the model predictions for different modifications of the ΛCDM best fit varying DDM parameters. In the legend, we include the χ2 value that each configuration yields.
Current usage metrics show cumulative count of Article Views (full-text article views including HTML views, PDF and ePub downloads, according to the available data) and Abstracts Views on Vision4Press platform.
Data correspond to usage on the plateform after 2015. The current usage metrics is available 48-96 hours after online publication and is updated daily on week days.
Initial download of the metrics may take a while.