Fig. B.1.

Download original image
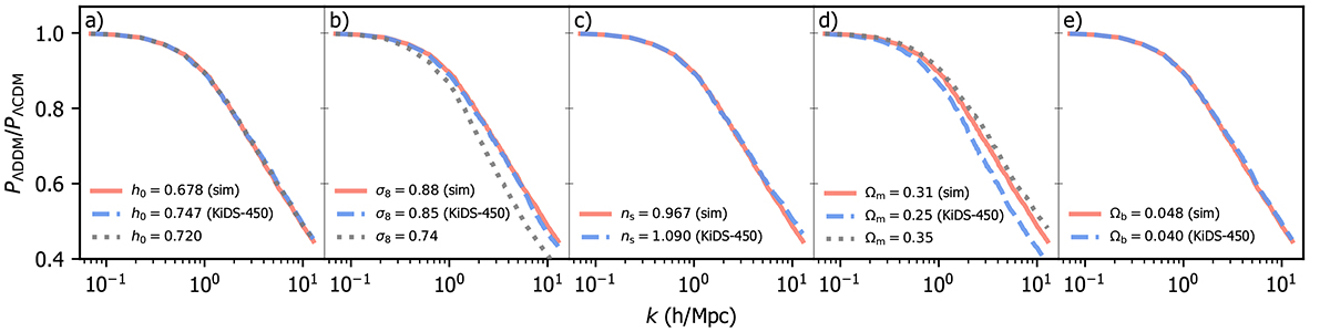
Cosmology dependence of the two-body effects on the matter power spectrum ratio between the ΛDDM and ΛCDM models. From panels (a) to (e), respectively, we show the effects of Hubble parameters (h0), clustering amplitude (σ8), spectral index (ns), matter abundance (Ωm), and baryon abundance (Ωb). With a solid salmon line, we show the fiducial cosmology of our N-body simulations, while the cosmology of the KiDS-450 survey is shown with a dashed blue line. We have also added a few additional scenarios, represented by dotted grey lines.
Current usage metrics show cumulative count of Article Views (full-text article views including HTML views, PDF and ePub downloads, according to the available data) and Abstracts Views on Vision4Press platform.
Data correspond to usage on the plateform after 2015. The current usage metrics is available 48-96 hours after online publication and is updated daily on week days.
Initial download of the metrics may take a while.