Fig. 4.

Download original image
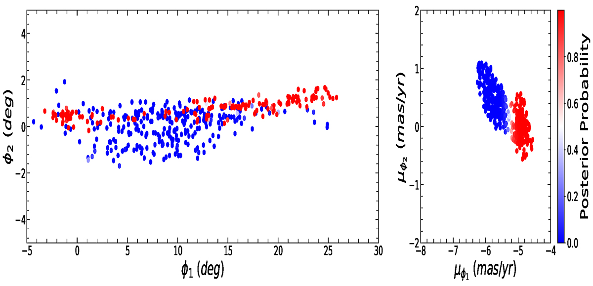
Posterior probabilities after clustering the two overdensities in proper motion space using a two-component Gaussian Mixture Model (GMM). Right panel: all stars in blue have a high probability of belonging to the top left overdenisty in proper motion space, while all stars in red have a high probability of belonging to the lower right overdenisty. Left panel: when visualized in position space, the two proper motion overdensities correspond to the narrow and broad components.
Current usage metrics show cumulative count of Article Views (full-text article views including HTML views, PDF and ePub downloads, according to the available data) and Abstracts Views on Vision4Press platform.
Data correspond to usage on the plateform after 2015. The current usage metrics is available 48-96 hours after online publication and is updated daily on week days.
Initial download of the metrics may take a while.