Open Access

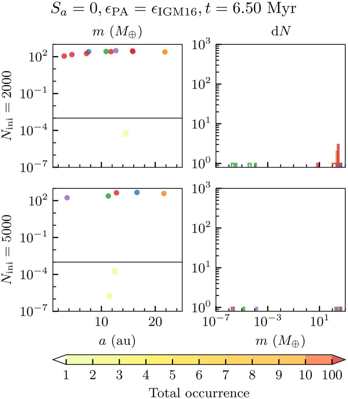
Fig. 6

image

Download original image

End results for the simulations with Nini = 2000 and 5000, respectively, as indicated on the left, migration turned off (Sa = 0), and the pebble accretion efficiency PA = IGM16. The two columns here correspond to the left-most and the right most columns of Fig. 5, respectively. There is no qualitative difference in the end results among the simulations with the chosen set of Nini = {1000, 2000, 5000}.

Current usage metrics show cumulative count of Article Views (full-text article views including HTML views, PDF and ePub downloads, according to the available data) and Abstracts Views on Vision4Press platform.

Data correspond to usage on the plateform after 2015. The current usage metrics is available 48-96 hours after online publication and is updated daily on week days.

Initial download of the metrics may take a while.