Fig. 4.

Download original image
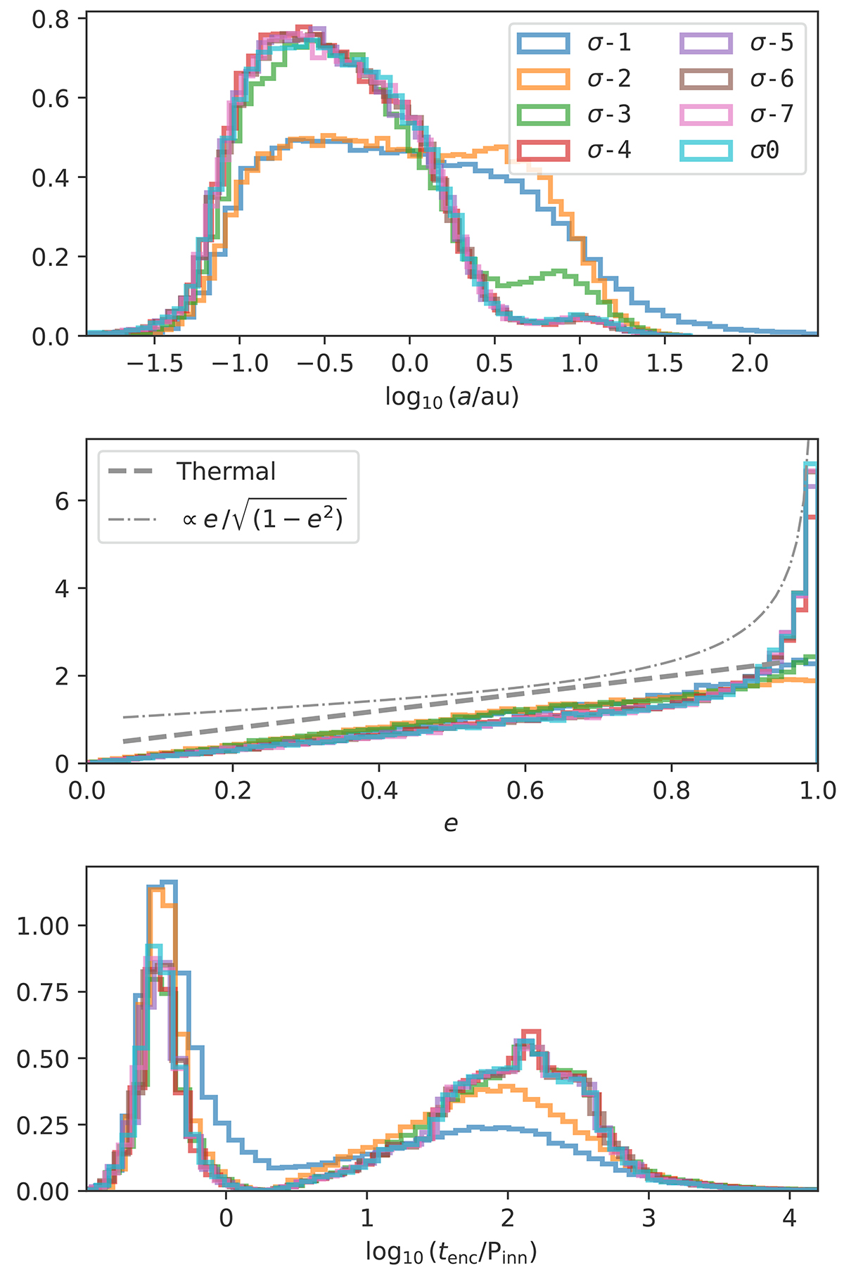
Distributions of binary semi-major axes (top panel) and eccentricities (middle panel) of post-encounter binaries, and encounter duration (bottom panel) for different disc velocity dispersions σ. The blue, orange, and green histograms correspond to σ = 10−1, 10−2, and 10−3, respectively. The encounter duration is shown in units of the initial inner binary period, which is different for each realisation. The eccentricity distributions become more skewed towards e ∼ 1 as the disc velocity dispersion decreases, so that for σ ≥ 10−3 they are roughly thermal, while for σ ≤ 10−4 they are superthermal. The distribution of encounter duration shows two peaks, corresponding to prompt and resonant interactions, with the former peak being more pronounced in set σ-1.
Current usage metrics show cumulative count of Article Views (full-text article views including HTML views, PDF and ePub downloads, according to the available data) and Abstracts Views on Vision4Press platform.
Data correspond to usage on the plateform after 2015. The current usage metrics is available 48-96 hours after online publication and is updated daily on week days.
Initial download of the metrics may take a while.