Open Access
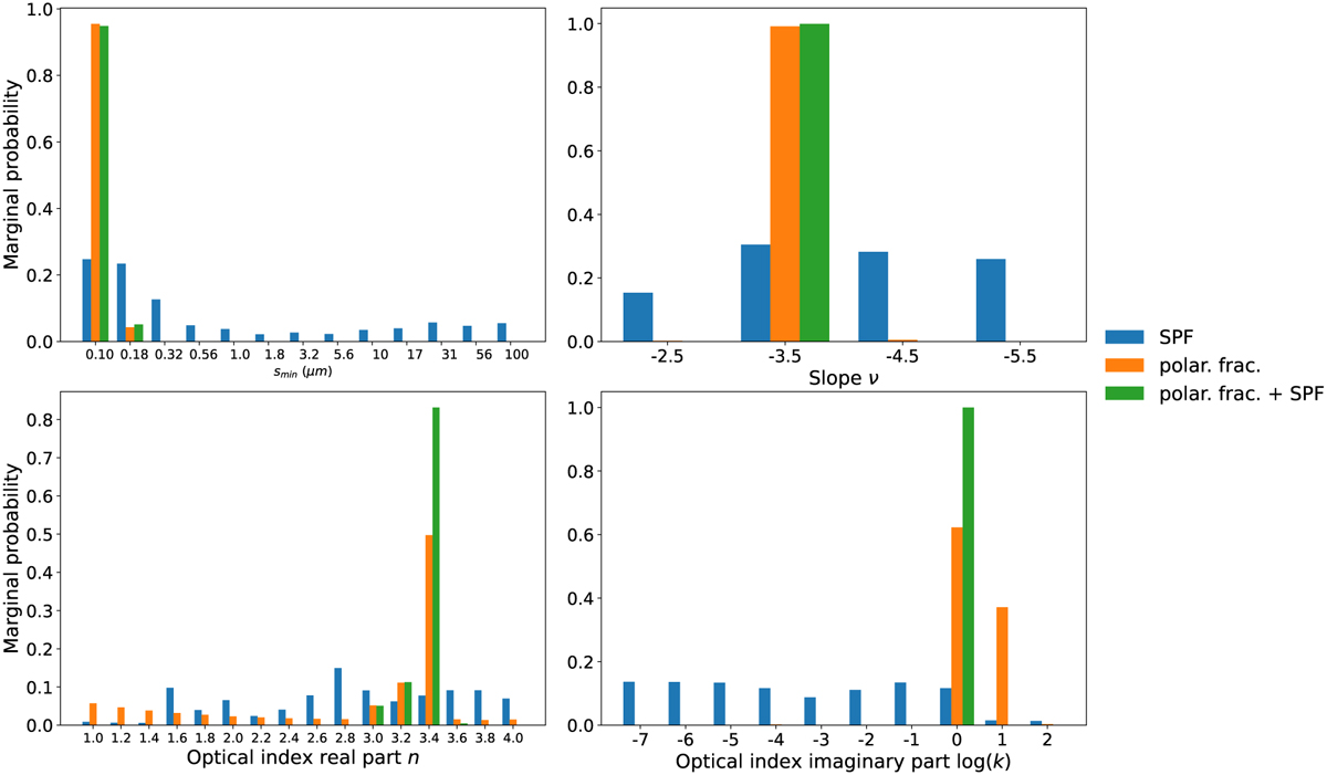
Fig. 13

Download original image
Marginal probability distributions of the four free parameters of our models, based on the polarised fraction (orange bars), on the NICMOS SPF (blue bars) or on the combination of both (green bars). These distributions are derived from models created using the DHS theory.
Current usage metrics show cumulative count of Article Views (full-text article views including HTML views, PDF and ePub downloads, according to the available data) and Abstracts Views on Vision4Press platform.
Data correspond to usage on the plateform after 2015. The current usage metrics is available 48-96 hours after online publication and is updated daily on week days.
Initial download of the metrics may take a while.