Open Access

Fig. 10

image

Download original image

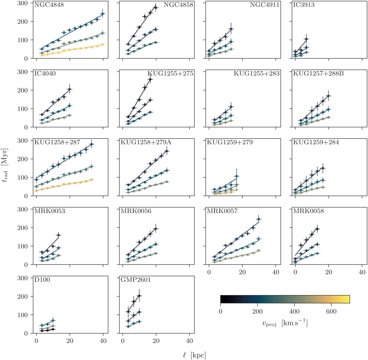
Radiative age versus projected distance along the tail for each of the galaxies in our sample. For each distance bin we plot three estimates of radiative age, corresponding to assumed magnetic field strengths of 1.96 (minimum-loss field), 6, and 10 µG. The radiative age increases monotonically with decreasing magnetic field strength. For each assumed magnetic field strength, we show the best-fit linear relationship between the radiative age and the distance along the tail, which gives an estimate for the projected bulk velocity of cosmic rays along the tail. Data markers and best-fit lines are coloured according to the best-fit projected velocity.

Current usage metrics show cumulative count of Article Views (full-text article views including HTML views, PDF and ePub downloads, according to the available data) and Abstracts Views on Vision4Press platform.

Data correspond to usage on the plateform after 2015. The current usage metrics is available 48-96 hours after online publication and is updated daily on week days.

Initial download of the metrics may take a while.