Open Access

Fig. A.2

image

Download original image

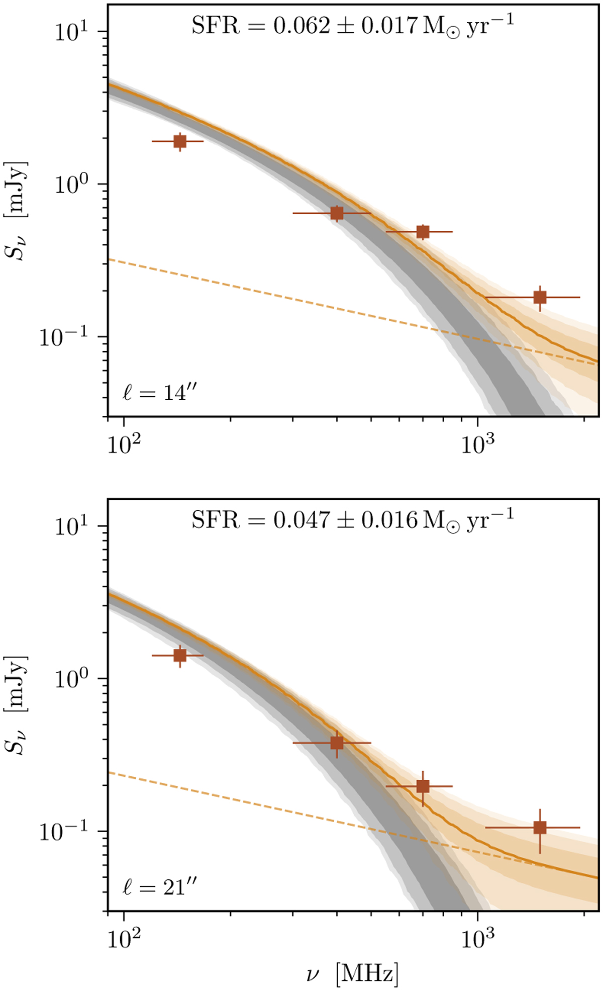
Radio continuum spectra for distance bins that show an excess of 1.5 GHz emission relative to the ageing model. Data points correspond to observed flux densities, grey shading corresponds to the ageing model, dashed gold line shows the best-fit power-law component, and the gold shading shows the composite ageing plus power-law model. Each panel lists the best-fit SFR required in order to reproduce the observed flux density excess at 1.5 GHz.

Current usage metrics show cumulative count of Article Views (full-text article views including HTML views, PDF and ePub downloads, according to the available data) and Abstracts Views on Vision4Press platform.

Data correspond to usage on the plateform after 2015. The current usage metrics is available 48-96 hours after online publication and is updated daily on week days.

Initial download of the metrics may take a while.