Open Access
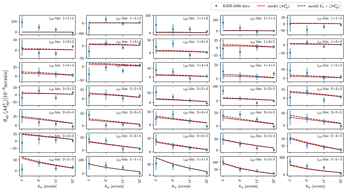
Fig. 8.

Download original image
Measured and modelled with filter radii θap ∈ {4′,8′,14′,32′}. The blue error bars indicate the KiDS-1000 uncertainty. The different dashed lines show analytical descriptions at the MP if the combination of
or only
is used.
Current usage metrics show cumulative count of Article Views (full-text article views including HTML views, PDF and ePub downloads, according to the available data) and Abstracts Views on Vision4Press platform.
Data correspond to usage on the plateform after 2015. The current usage metrics is available 48-96 hours after online publication and is updated daily on week days.
Initial download of the metrics may take a while.