Fig. C.7

Download original image
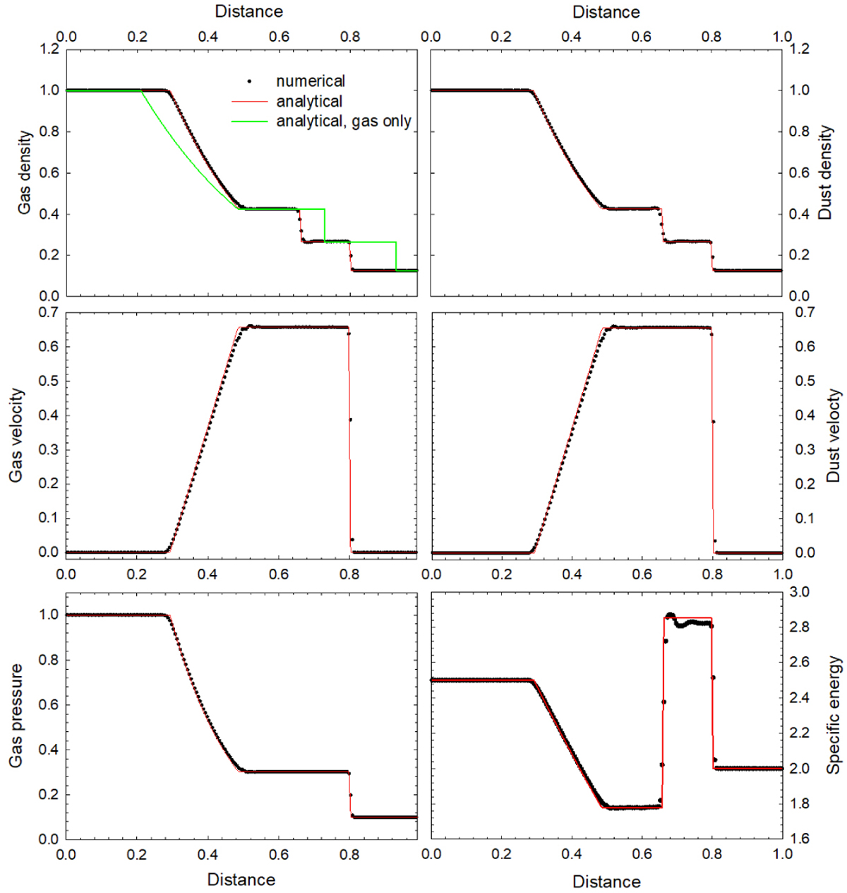
Sod shock tube problem for a strongly coupled gas-dust mixture. The top and middle panels present solutions for the gas component, while the bottom rows show solutions for the dust component. The red lines present the analytical solution and the filled circles are the numerical solution. The green line the upper left panel presents the analytic solution for the pure gas for comparison.
Current usage metrics show cumulative count of Article Views (full-text article views including HTML views, PDF and ePub downloads, according to the available data) and Abstracts Views on Vision4Press platform.
Data correspond to usage on the plateform after 2015. The current usage metrics is available 48-96 hours after online publication and is updated daily on week days.
Initial download of the metrics may take a while.