Fig. 2.

Download original image
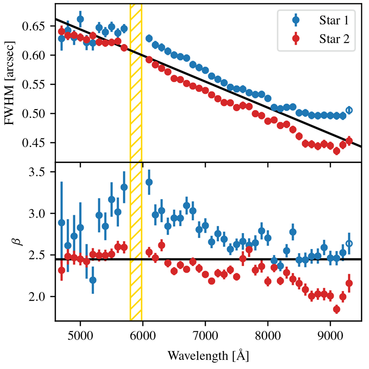
Moffat PSF fit parameters (FWHM in the top panel, β in the bottom panel) as a function of wavelength for the two stars found in the field of CGr35. Open symbols represent outliers discarded from the fit. The linear fit of the FWHM and the mean of β are shown as black lines. The absence of points between 5800 and 5980 Å (vertical hatched yellow region) is due to the sodium notch filter when laser-assisted AO observations are acquired.
Current usage metrics show cumulative count of Article Views (full-text article views including HTML views, PDF and ePub downloads, according to the available data) and Abstracts Views on Vision4Press platform.
Data correspond to usage on the plateform after 2015. The current usage metrics is available 48-96 hours after online publication and is updated daily on week days.
Initial download of the metrics may take a while.