Open Access

Fig. 9.

image

Download original image

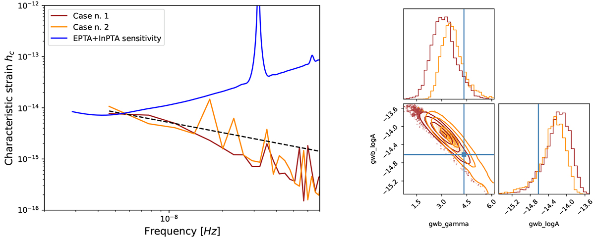
Comparison between the two realisations denoted as Case1 and Case2. In the left panel we compare the characteristic spectra with the f−2/3 trend, represented by the dashed black line. The sensitivity curve is the one presented in The International Pulsar Timing Array Collaboration et al. (2023). Right panel: corner plot of the GWB parameter posteriors for Case1 (brown posterior) and 2 (orange posterior). The simulated GWB amplitude is 2.4 × 10−15.

Current usage metrics show cumulative count of Article Views (full-text article views including HTML views, PDF and ePub downloads, according to the available data) and Abstracts Views on Vision4Press platform.

Data correspond to usage on the plateform after 2015. The current usage metrics is available 48-96 hours after online publication and is updated daily on week days.

Initial download of the metrics may take a while.