Open Access

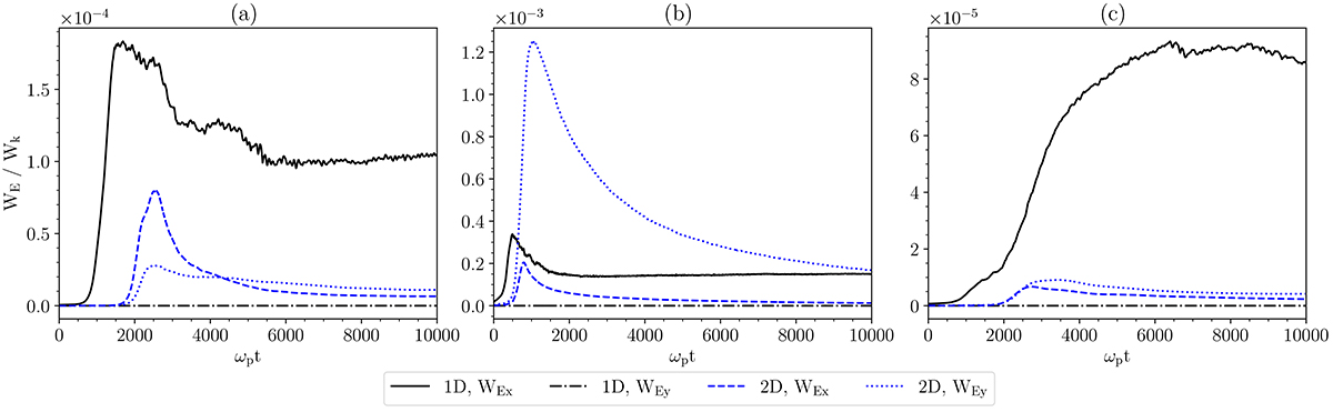
Fig. 1.

image

Download original image

Comparison of the energy evolution of electric field components parallel, Ex, and perpendicular, Ey, to the magnetic field between 1D (black lines) and 2D (blue lines) simulations. All energies are normalized to the initial kinetic energy. The parallel components of the energy ratio Wx/Wk are always smaller in 2D than in 1D and decreasing. The 2D simulations grow later because they contain a lower initial noise level than the 1D ones at the simulation start. (a) S1–1D + S1–2D. (b) S2–1D + S2–2D. (c) S3–1D + S3–2D.

Current usage metrics show cumulative count of Article Views (full-text article views including HTML views, PDF and ePub downloads, according to the available data) and Abstracts Views on Vision4Press platform.

Data correspond to usage on the plateform after 2015. The current usage metrics is available 48-96 hours after online publication and is updated daily on week days.

Initial download of the metrics may take a while.